Last update :
18/03/2026
Antidementia   Pimavanserin  
Oral solution
Stability of pharmaceutical preparations Stability of mixtures Factors which affect stability Compatibility References pdf
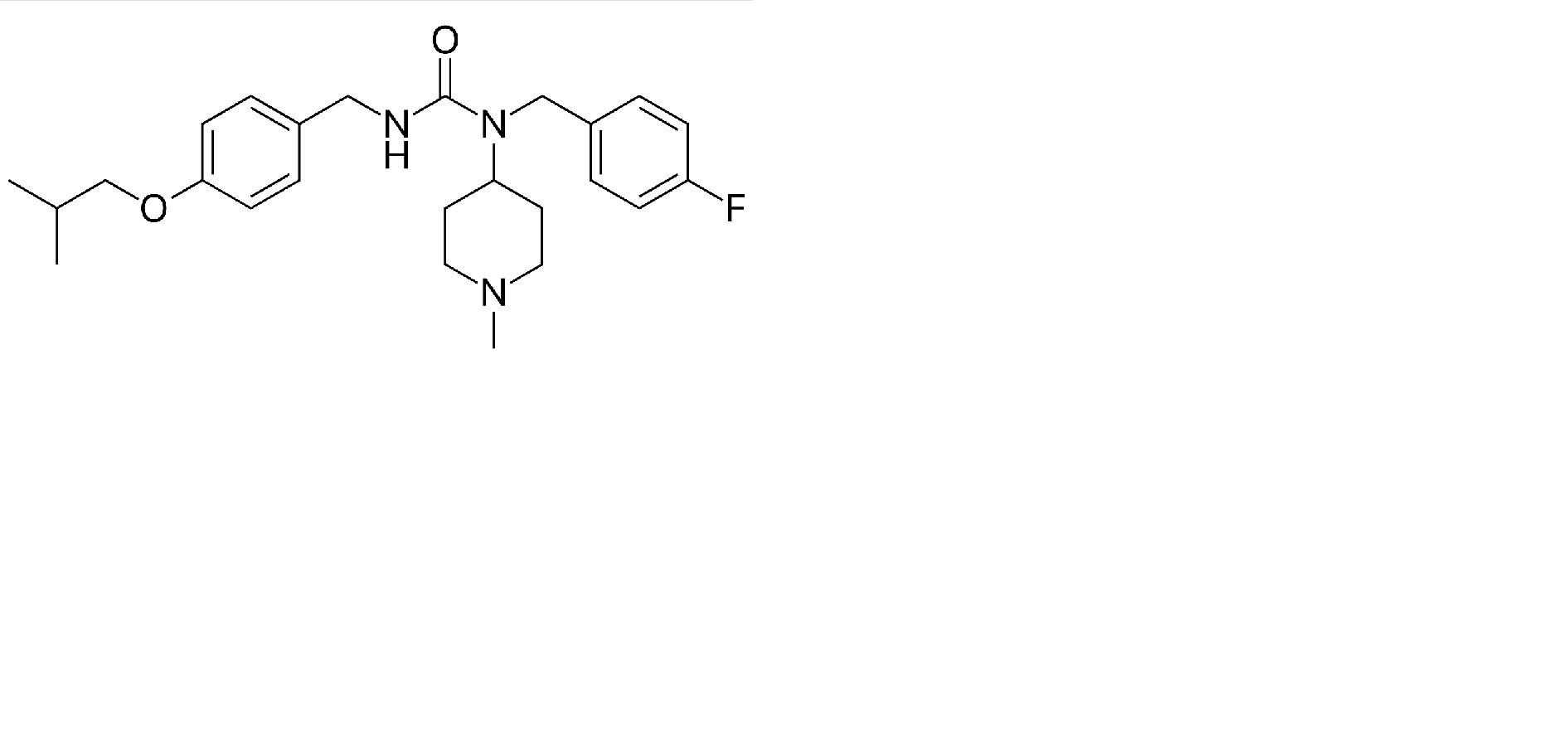
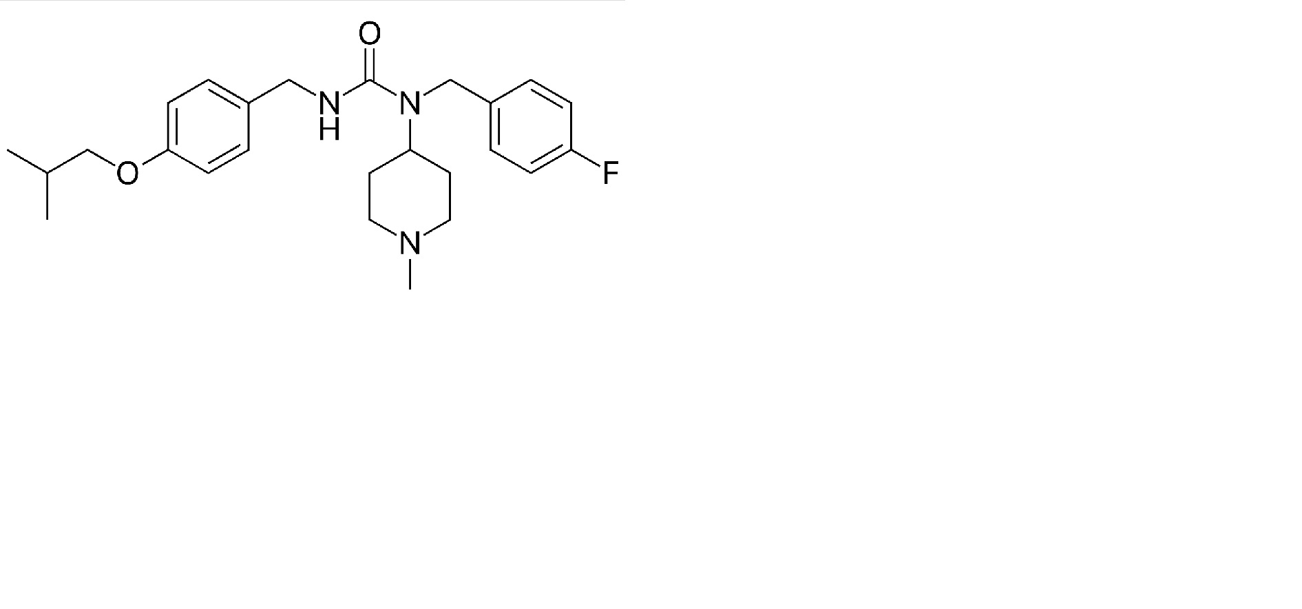
   Chemical structure  

Oral solution
Stability of mixtures   Oral solution   Stability of mixtures : Pimavanserin     
No data

  Mentions Légales