fermer
Viimeisin päivitys :
17/12/2025
Infostab
Luettelo yhdisteistä
Yhteenveto-luettelot
Etsi yhteensopivuutta
Y-sivuston yhteensopivuustaulukko
Viitteet
tutkimus Joukkueet
valistab
ilmoitus
Liitännät
sponsorit
Tekijät
Käyttöohje
Uutiskirje
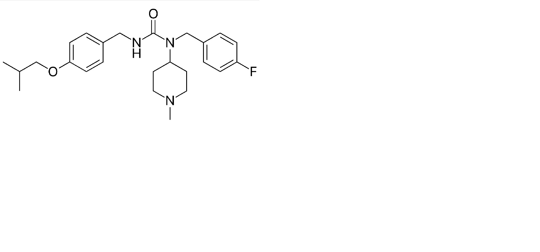
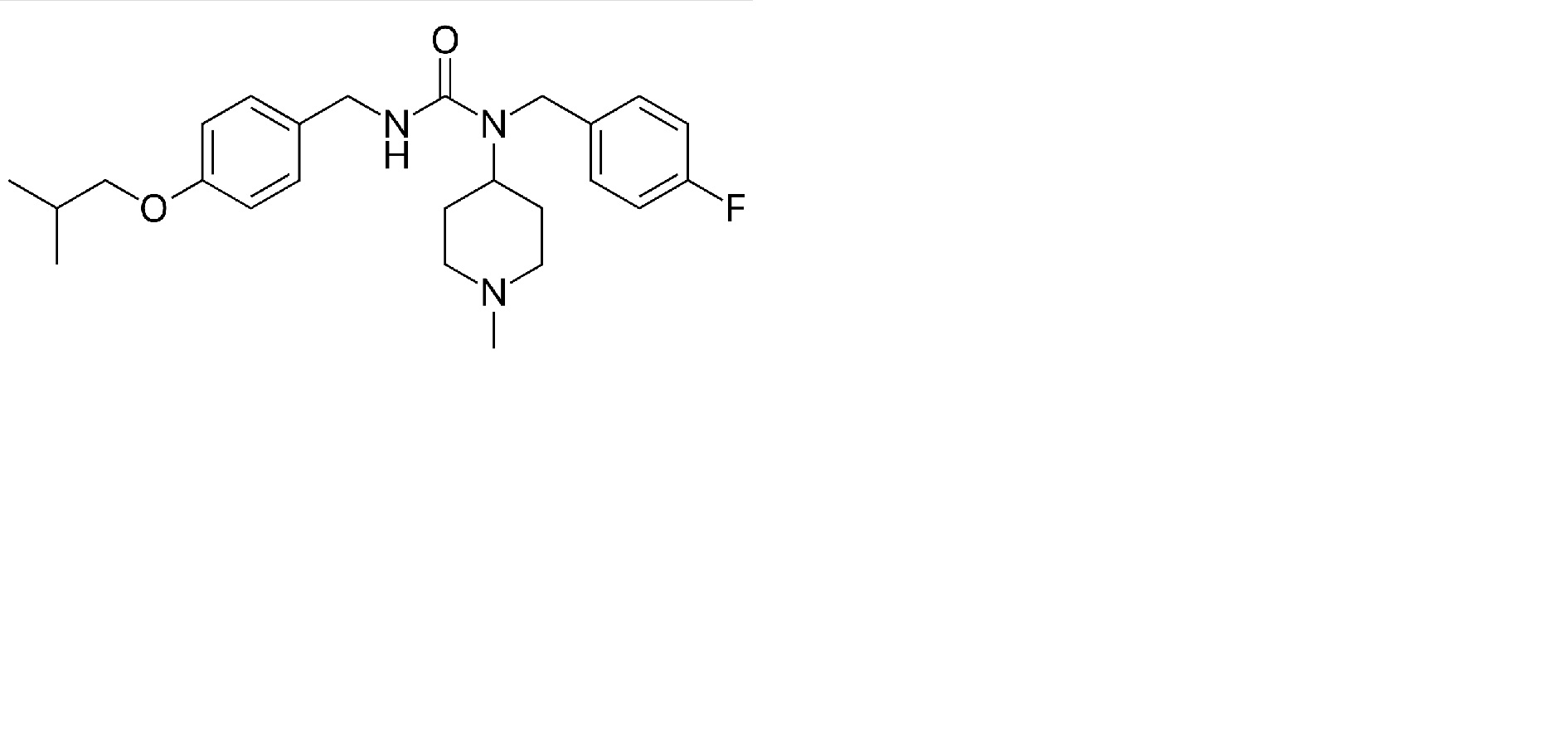
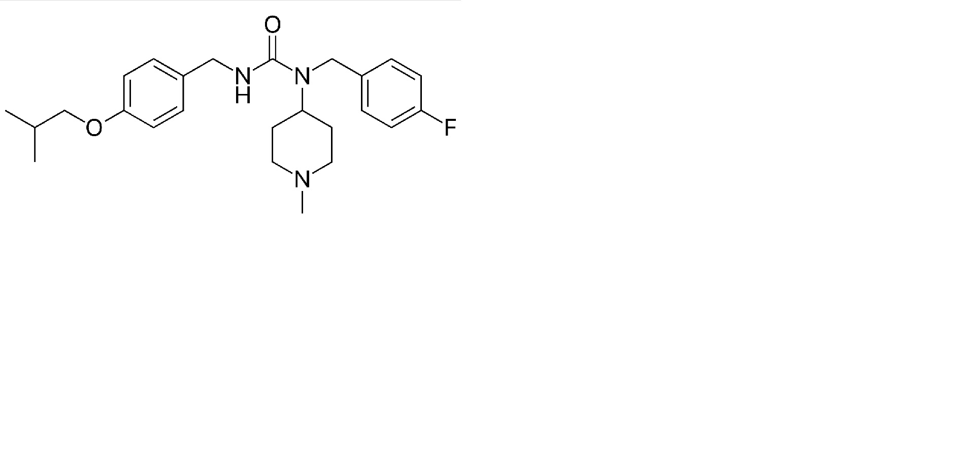
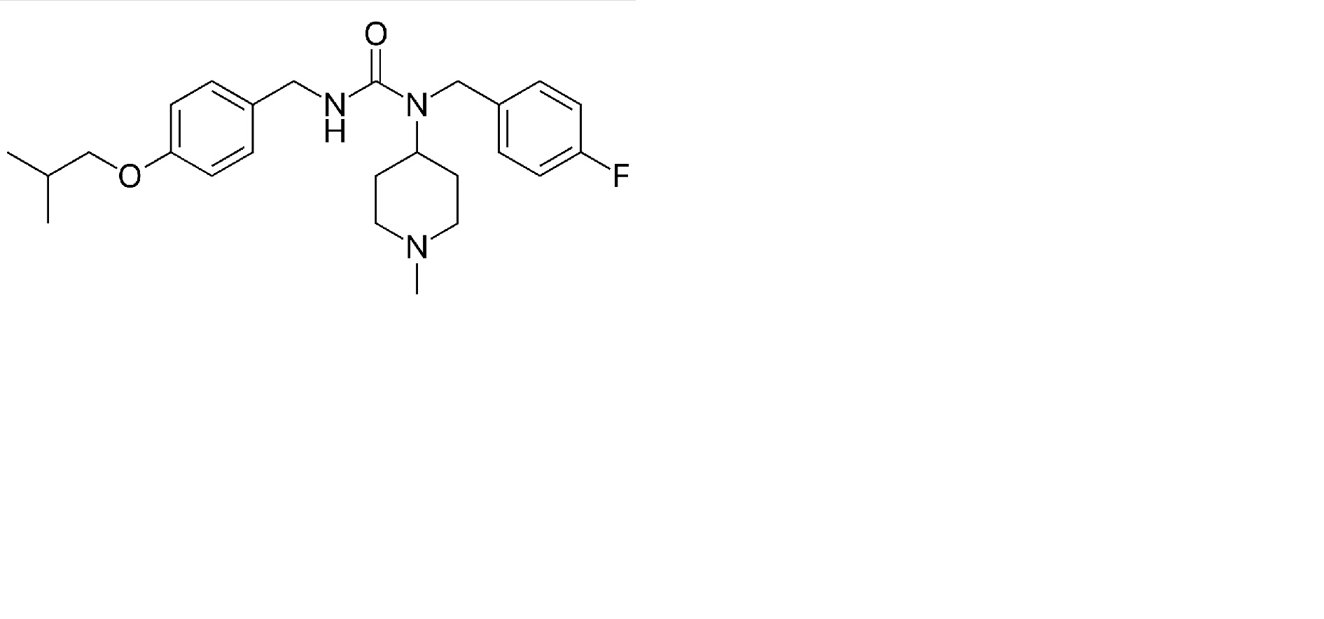
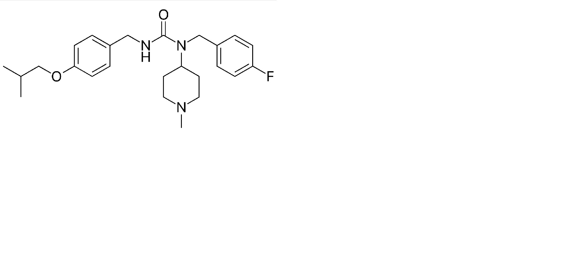
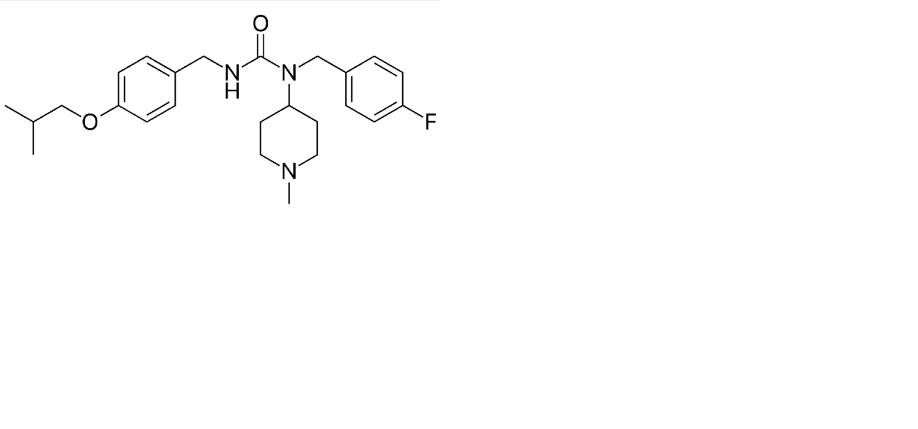
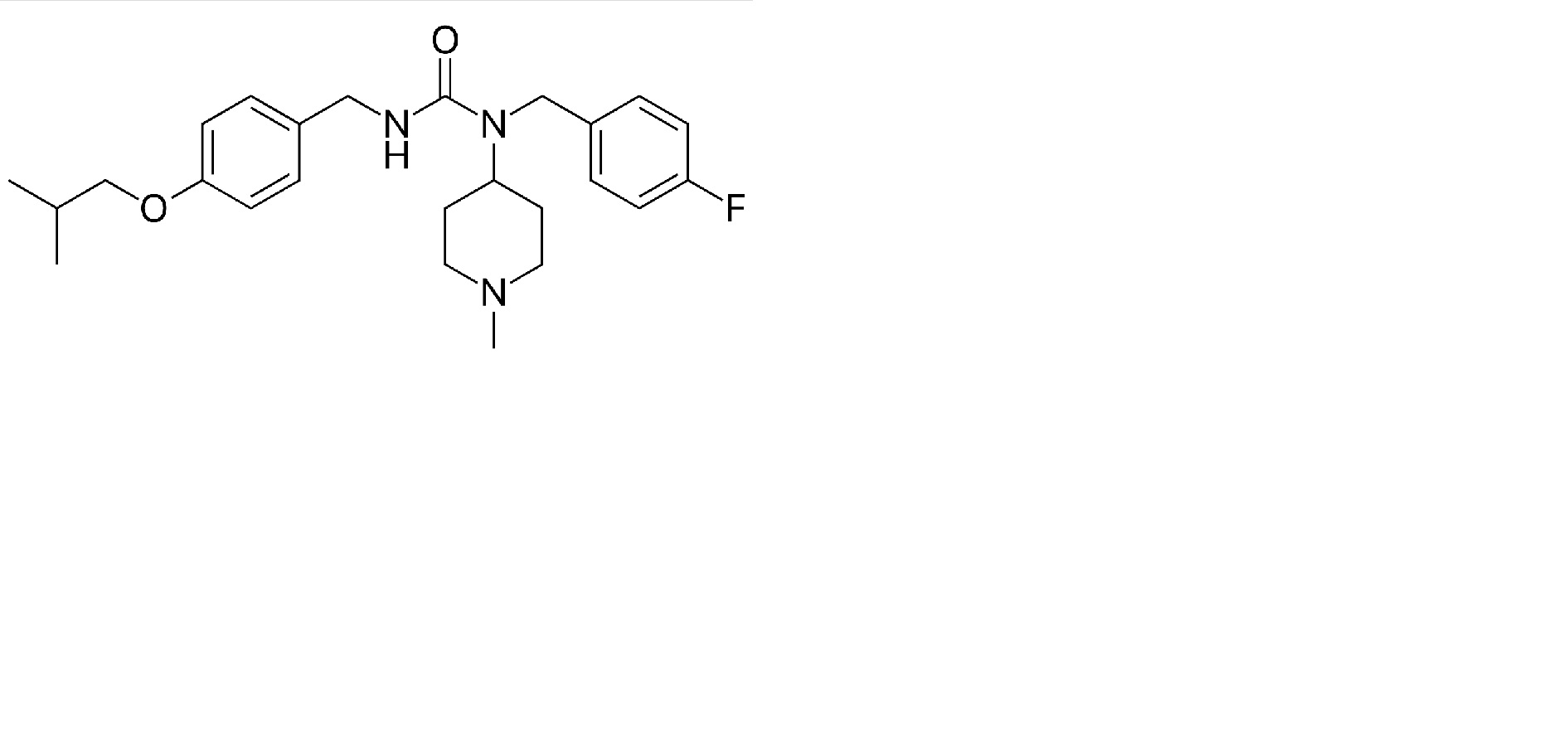
Pimavanserin
Kemiallinen rakenne
Stabilius seoksissa : Pimavanserin
ei tietoa
Mentions Légales