Poslední aktualizace :
27/11/2025
anti-demence   Pimavanserin  
Perorální roztok
Stabilita farmaceutických přípravků Stabilita směsí Faktory ovlivňující stabilitu Kompatibilita Odkazy pdf
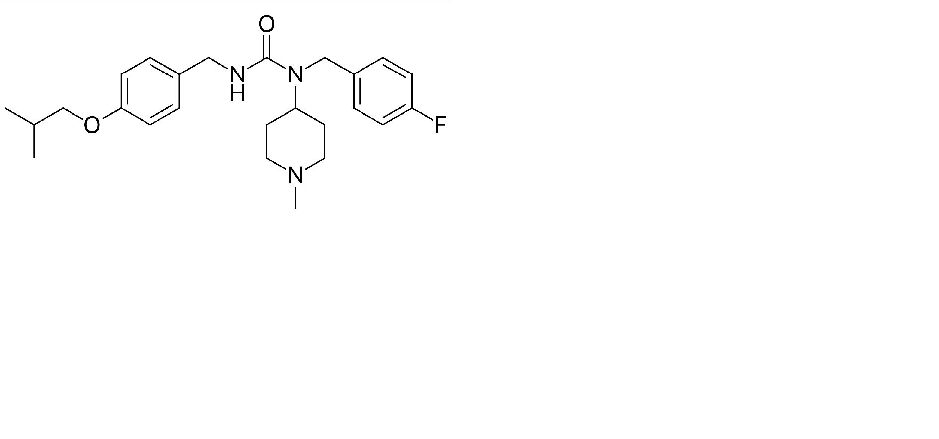
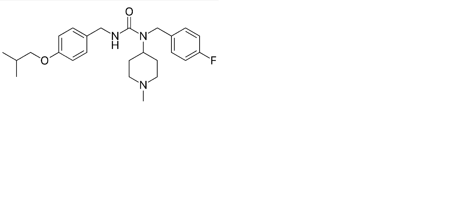
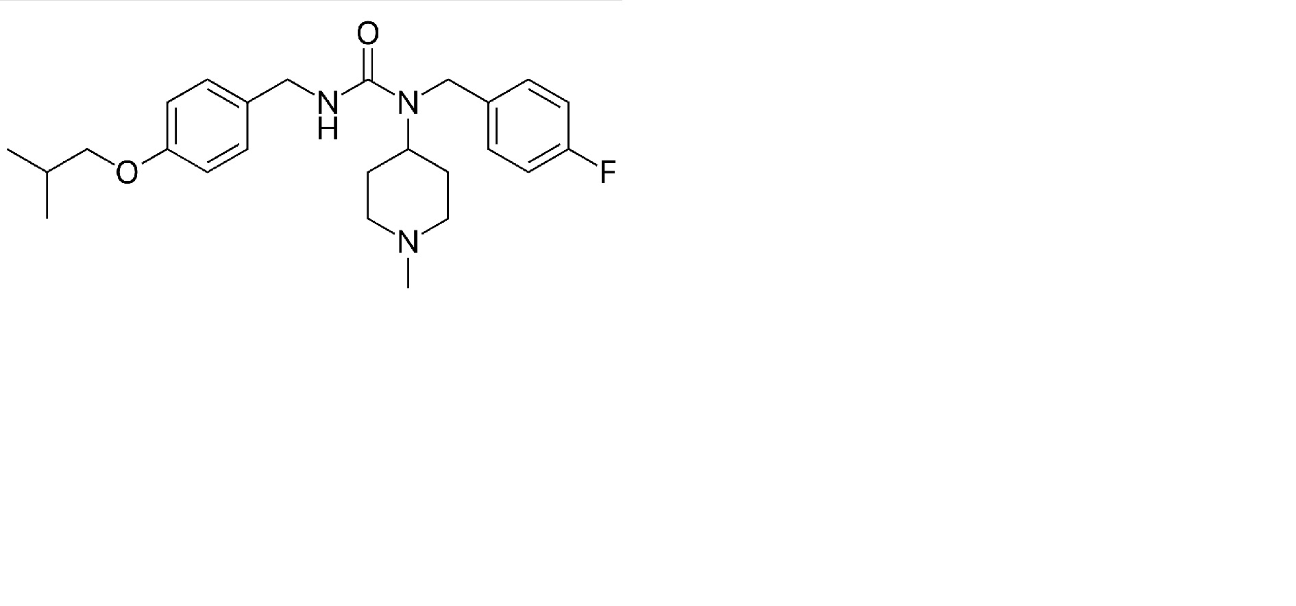
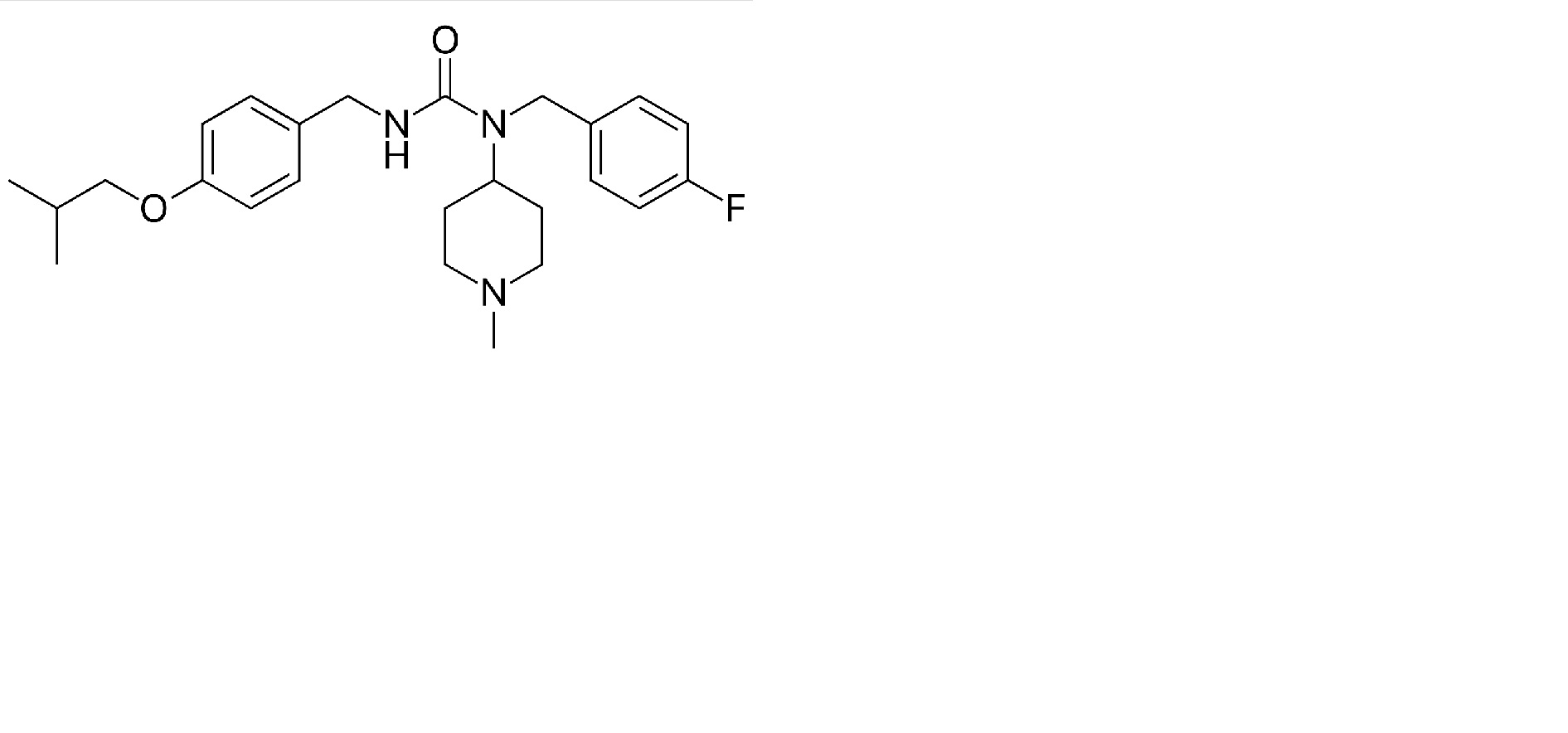
   Chemický vzorec  

Perorální roztok
Stabilita směsí   Perorální roztok   Stabilita směsí : Pimavanserin     
žádná data

  Mentions Légales