Ultimo aggiornamento :
18/03/2026
contro la demenza   Pimavanserin  
Soluzione orale
Stabilità dei preparati farmaceutici Stabilità in miscela Fattori che influenzano la stabilità Compatibilità Bibliografia pdf
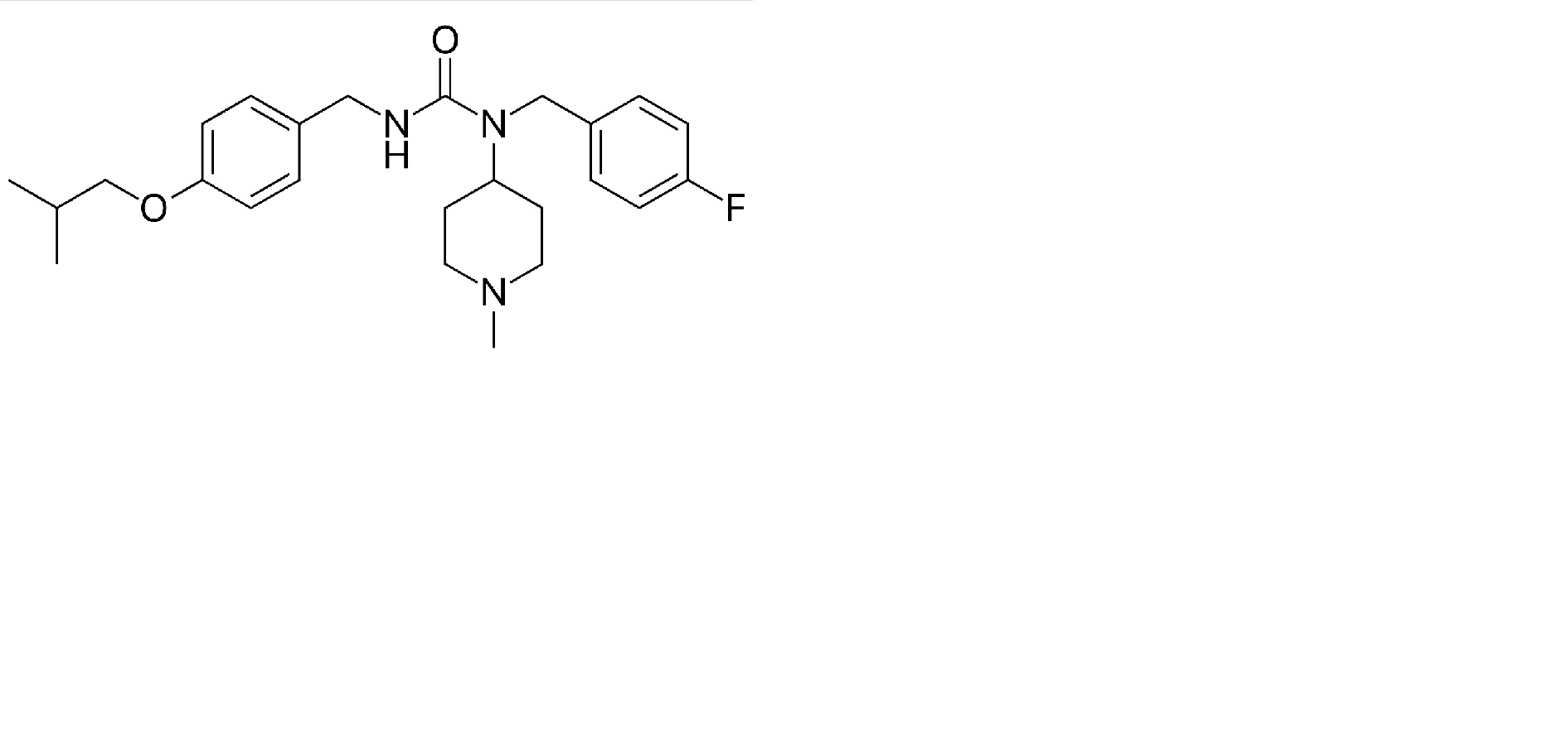
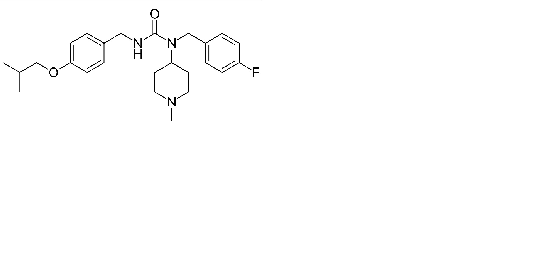
   Struttura chimica  

Soluzione orale
Stabilità in miscela   Soluzione orale   Stabilità in miscela : Pimavanserin     
Assenza di dati

  Mentions Légales