Ultimele actualizari :
18/03/2026
anti dementa   Pimavanserin  
Soluţie orală
Stabilitatea preparatelor farmaceutice Stabilitatea in amestec Factorii care influenteaza stabilitatea Compatibilitate Bibliografie pdf
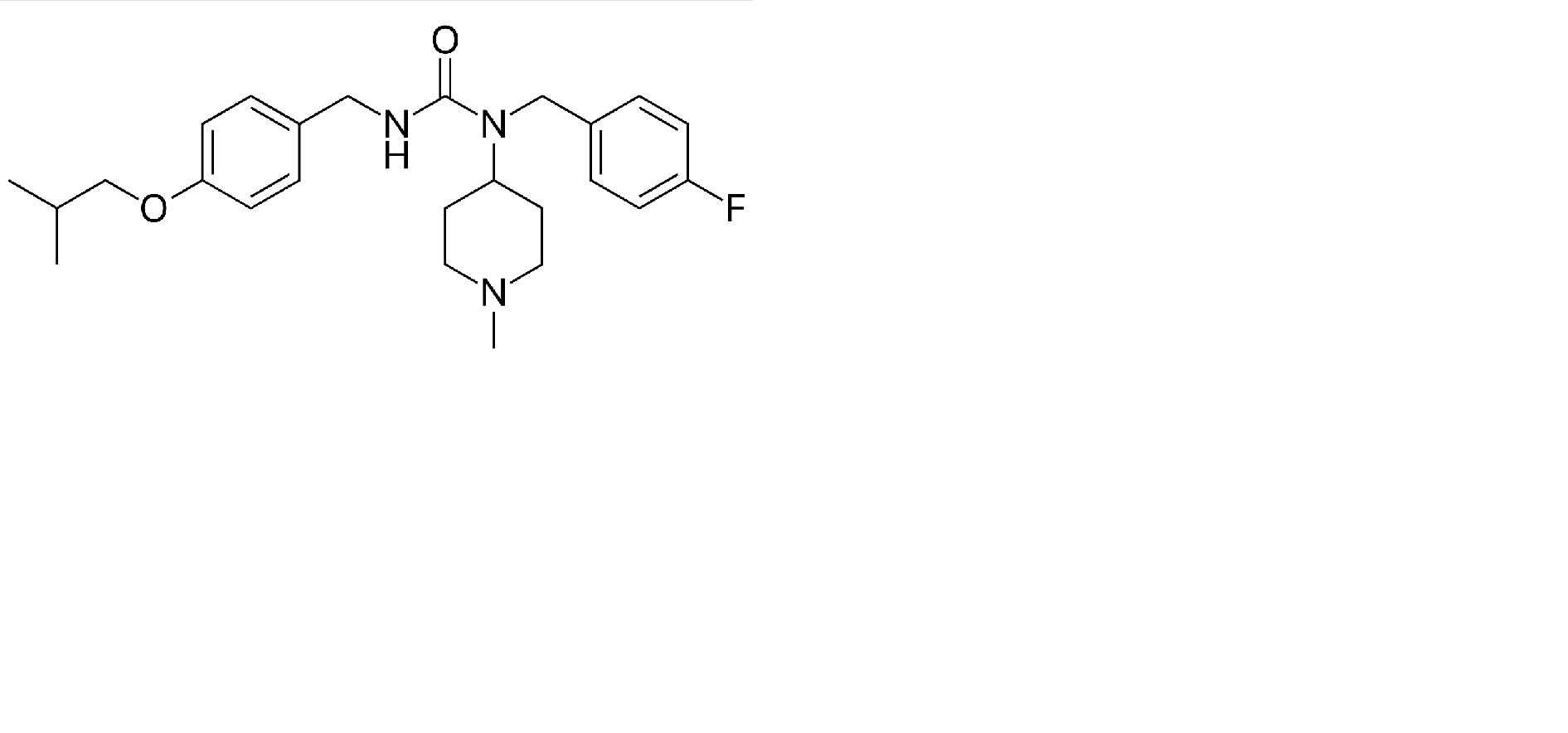
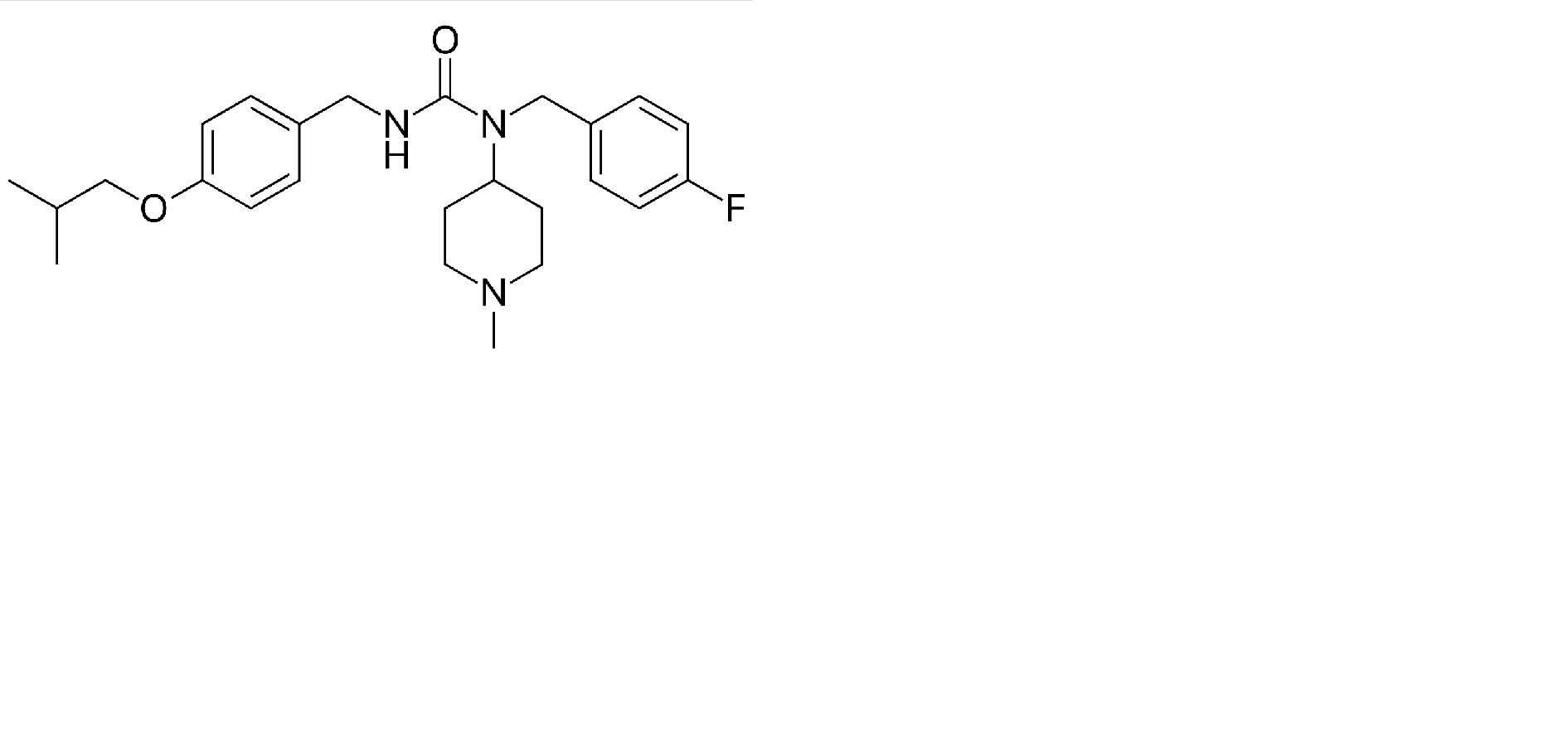
   Formula chimica  

Soluţie orală
Compatibilitate   Soluţie orală   Compatibilitate : Pimavanserin              
Absenta de date

  Mentions Légales