آخر تحديث :
18/03/2026
 مكافحة الخرف   Pimavanserin  
عن طريق الفم
استقرار المستحضرات الصيدلانية استقرار مخاليط العوامل التي تؤثر على الاستقرار التوافق مراجع pdf
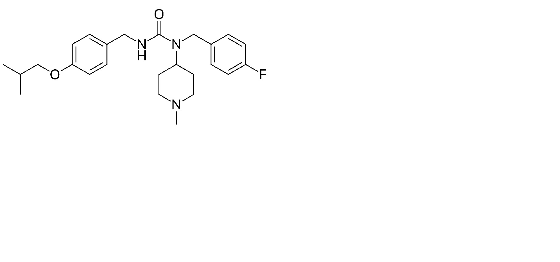
   التركيب الكيميائي  

عن طريق الفم
التوافق   عن طريق الفم     التوافق : Pimavanserin              
لا توجد بيانات

  Mentions Légales