Τελευταία ενημέρωση :
18/03/2026
αντι-άνοια   Pimavanserin  
Πόσιμο διάλυμα
Σταθερότητα και συμβατότητα των φαρμάκων Σταθερότητα σε μίγματα Παράγοντας που επηρεάζει τη σταθερότητα Συμβατότητες Βιβλιογραφία pdf
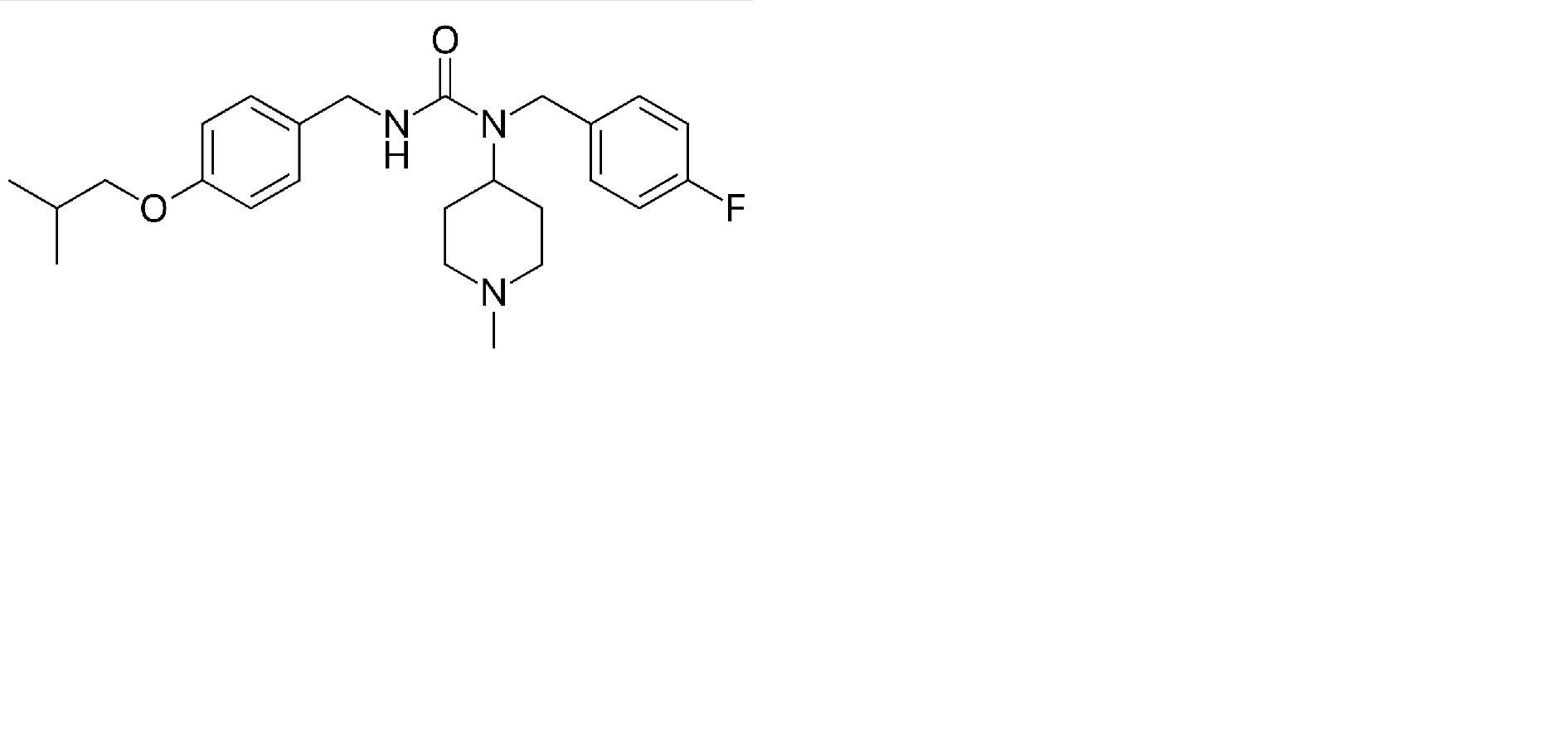
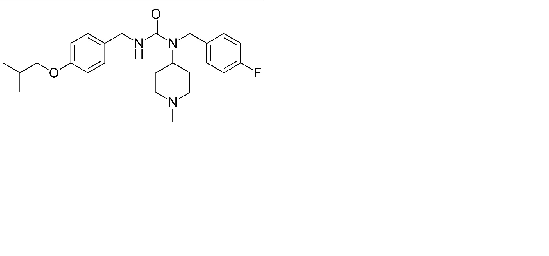
   χημική δομή  

Πόσιμο διάλυμα
Συμβατότητες    Πόσιμο διάλυμα   Συμβατότητες : Pimavanserin              
Δεν υπάρχουν πληροφορίες

  Mentions Légales