Zadnji put ažurirano :
18/03/2026
anti demencija   Pimavanserin  
oralna otopina
Stabilnost farmaceutskih pripravaka Stabilnost mješavine Stabilizacijski faktor Kompatibilnosti Bibliografija pdf
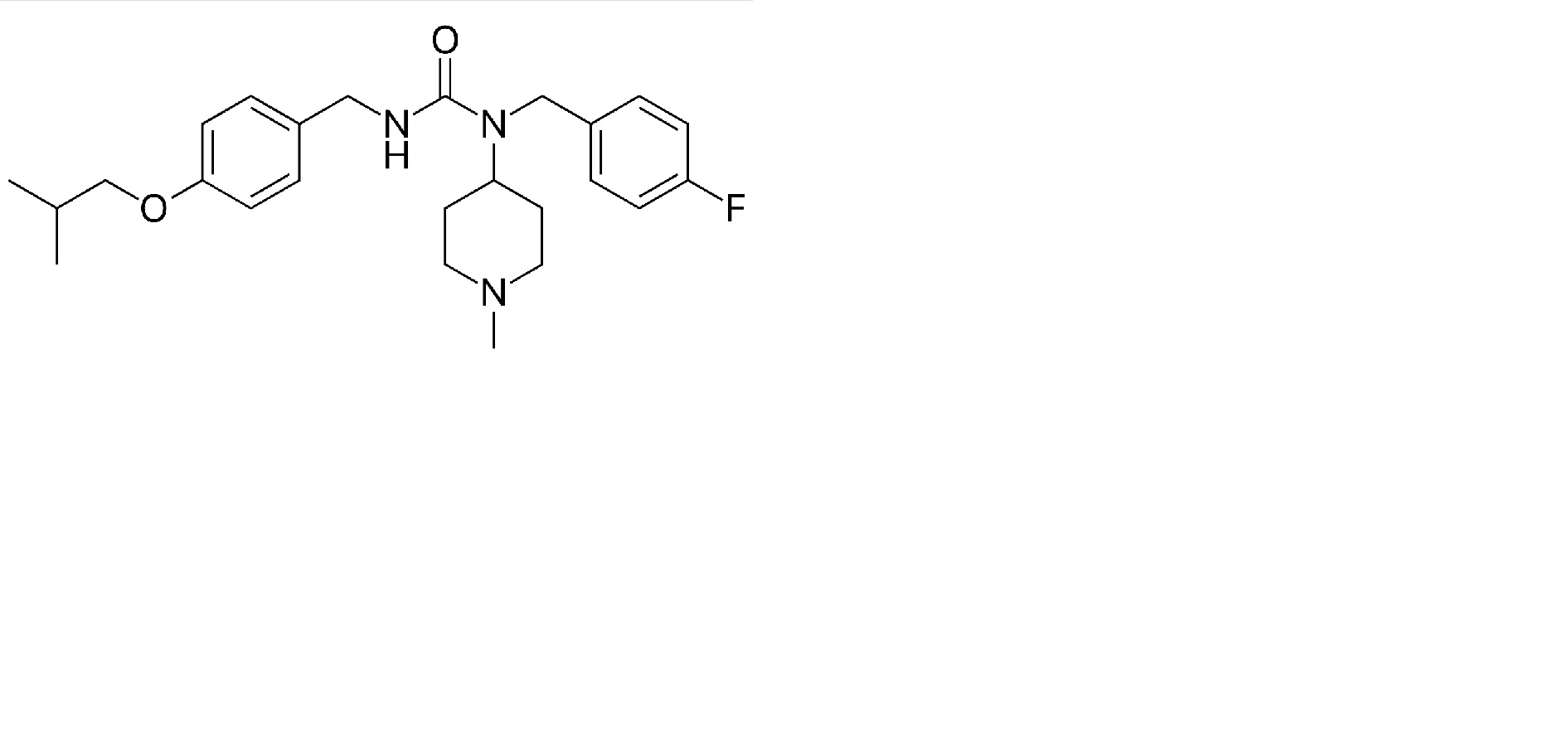
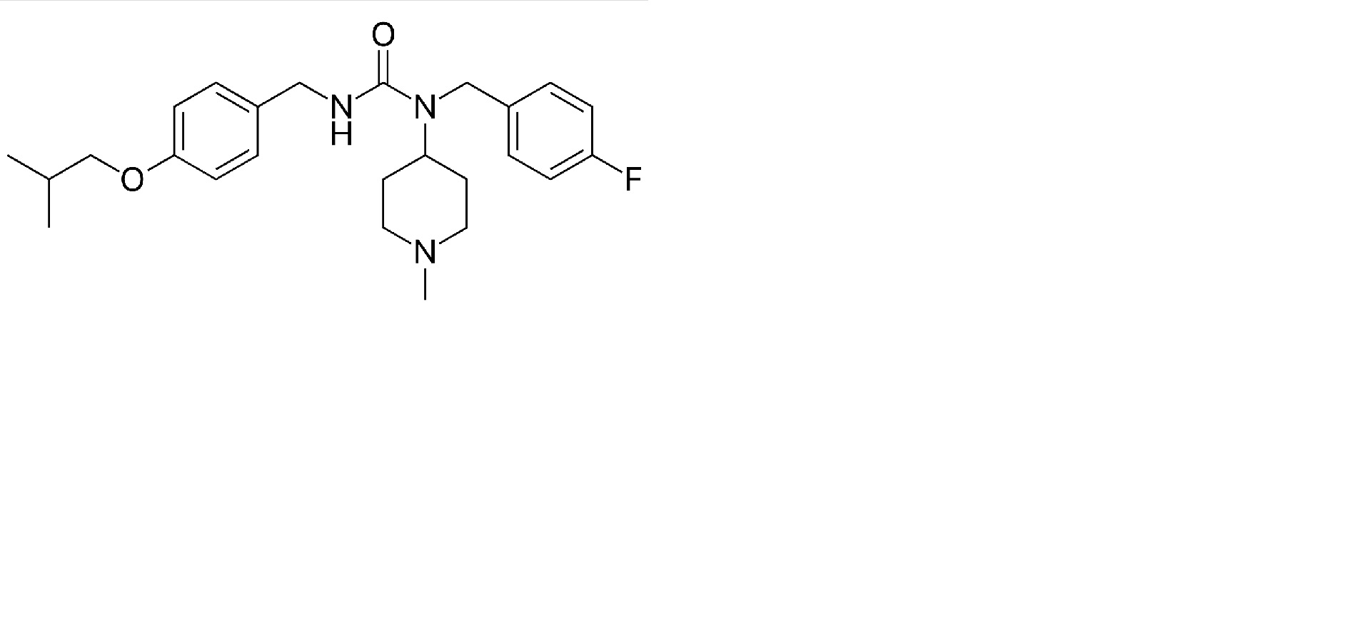
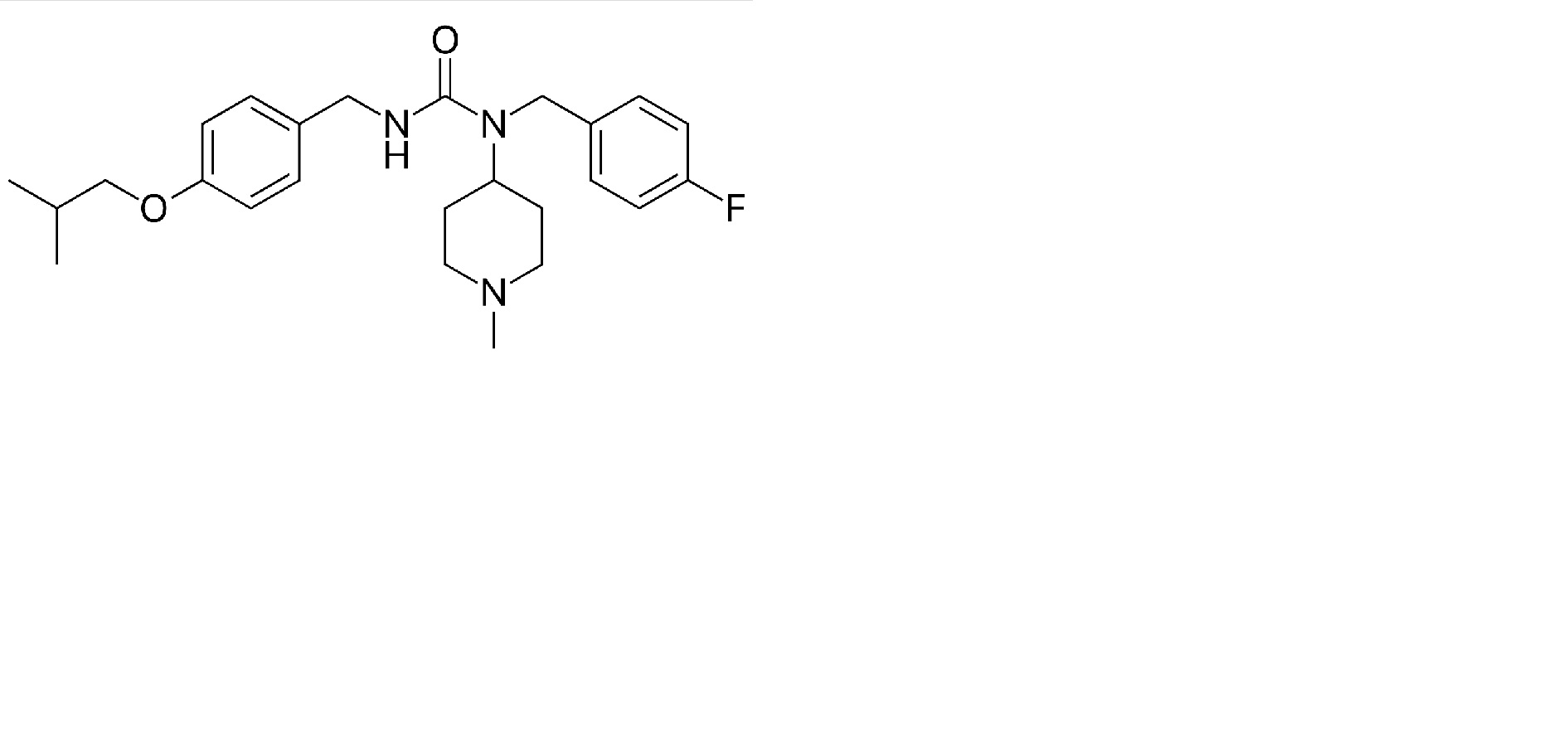
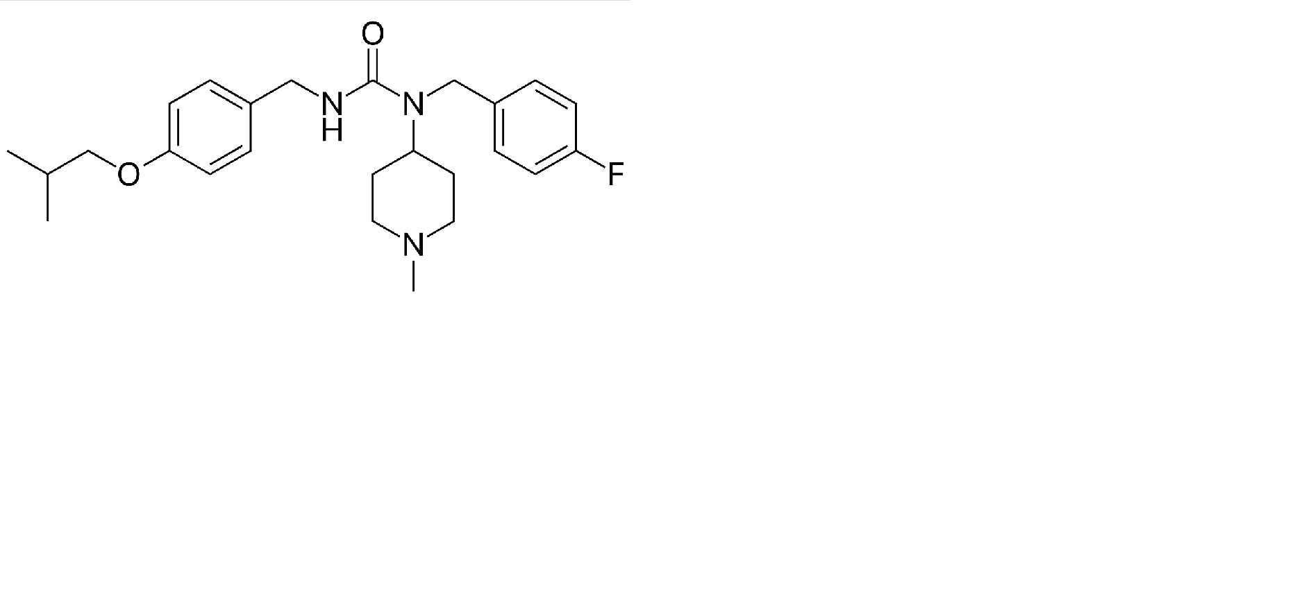
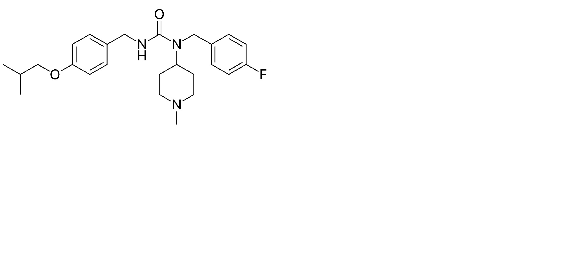
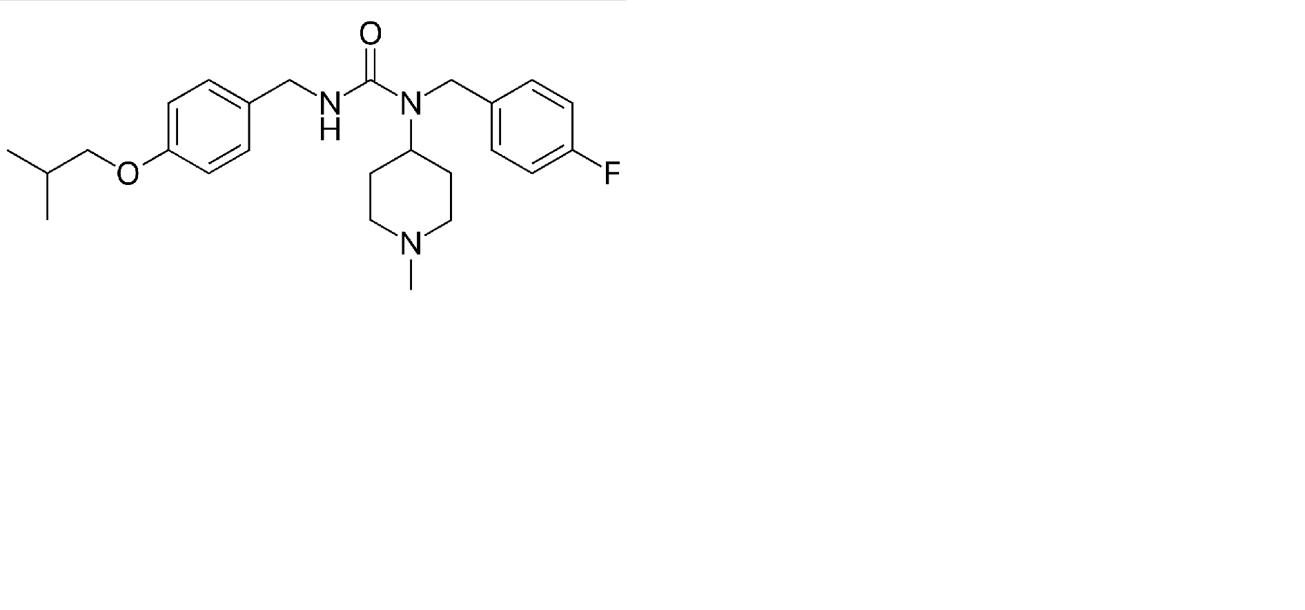
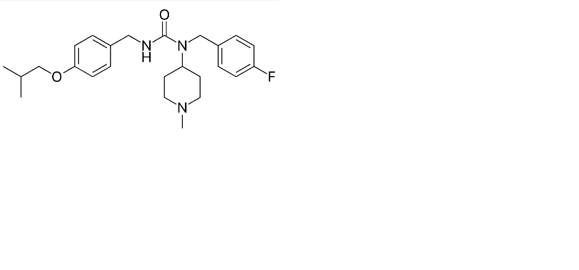
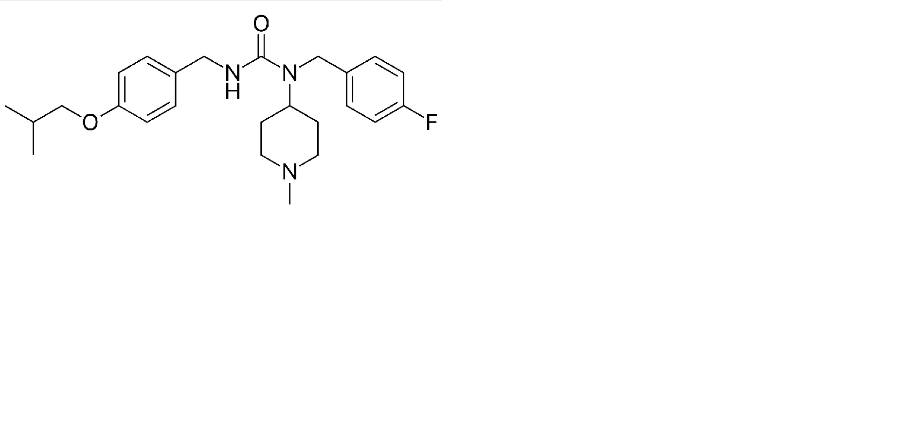
   Kemijska struktura  

oralna otopina
Kompatibilnosti   oralna otopina     Kompatibilnosti : Pimavanserin              
bez podataka

  Mentions Légales