Última actualización :
18/03/2026
Antibiótico   Co-trimoxazole  
Solución Oral
Inyectables
La estabilidad de las preparaciones farmacéuticas Estabilidad en mezcla Factores que influyen sobre la estabilidad Compatibilidades Bibliografía pdf
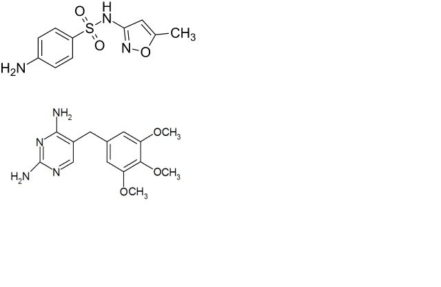
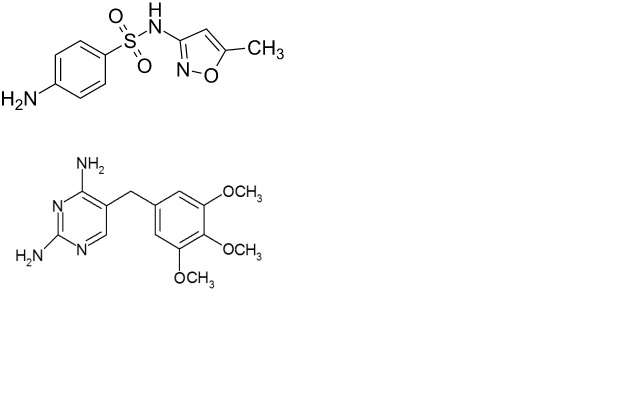
   Estructura química  

Solución Oral
Compatibilidades   Solución Oral   Compatibilidades : Co-trimoxazole              
Ausencia de datos

  Mentions Légales