viimane versioon :
18/03/2026
antibiootikum   Co-trimoxazole  
suukaudne lahus
Süsteravim
Stabiilsust ravimpreparaadid Stabiilsust mõjutavad tegurid stabiilsust mõjutavad faktorid Sobimatus Viited pdf
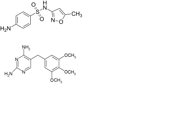
   keemiline struktuur  

suukaudne lahus
Sobimatus   suukaudne lahus   Sobimatus : Co-trimoxazole              
andmed puuduvad

  Mentions Légales