Ultimele actualizari :
18/03/2026
Antibiotic   Co-trimoxazole  
Soluţie orală
Injectabil
Stabilitatea preparatelor farmaceutice Stabilitatea in amestec Factorii care influenteaza stabilitatea Compatibilitate Bibliografie pdf
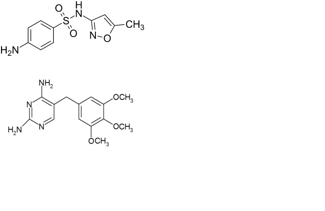
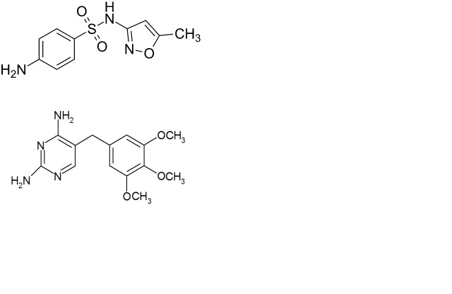
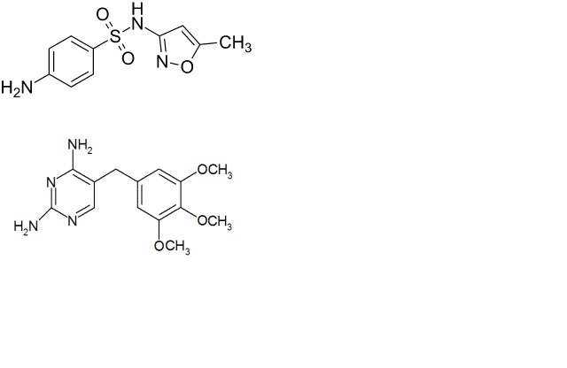
   Formula chimica  

Soluţie orală
Compatibilitate   Soluţie orală   Compatibilitate : Co-trimoxazole              
Absenta de date

  Mentions Légales