Ostatnia aktualizacja :
18/03/2026
Antybiotyk   Co-trimoxazole  
Roztwór doustny
Injekcje
Stabilność preparatów farmaceutycznych Trwałość w mieszaninie Czynnik wpływający na trwałość Zgodność Bibliografia pdf
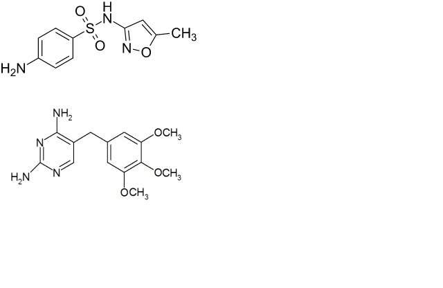
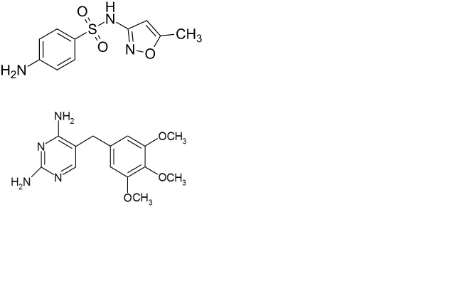
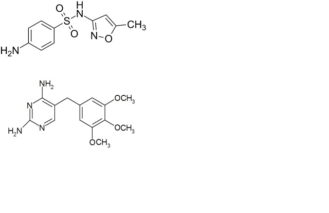
   Struktura chemiczna  

Roztwór doustny
Zgodność   Roztwór doustny   Zgodność : Co-trimoxazole              
Brak danych

  Mentions Légales