Останнє оновлення :
17/12/2025
Протипухлинний препарат   Pemetrexed diarginine  
ін'єкція
Стійкість в розчинах Стійкість сумішей Фактори, що впливають на стабільність Сумісність Шлях введення Список літератури pdf
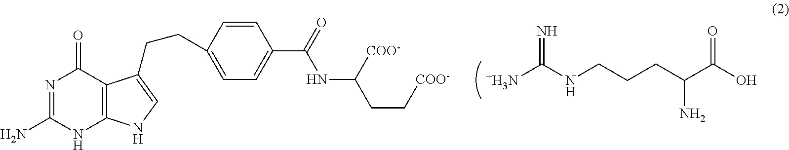
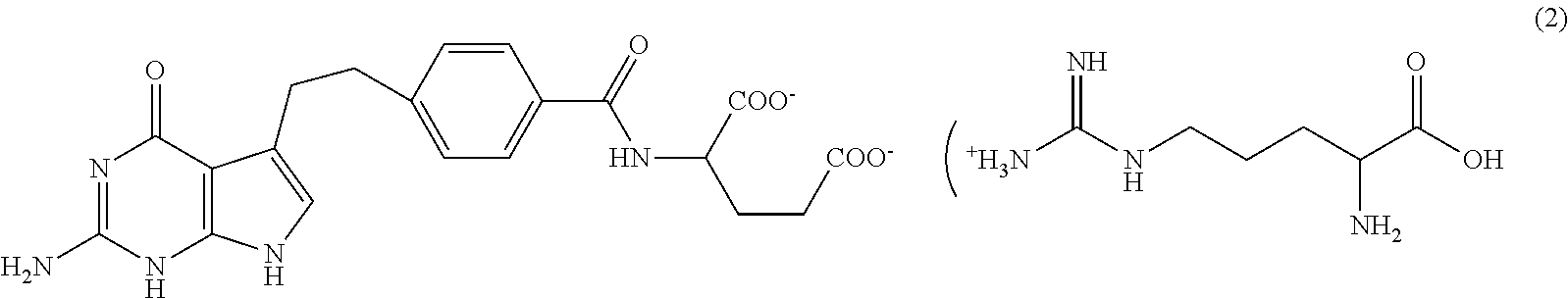
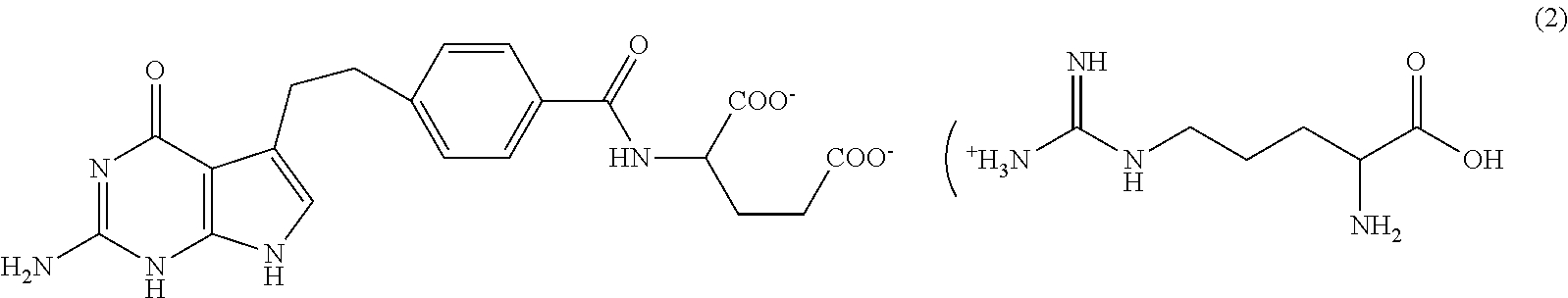
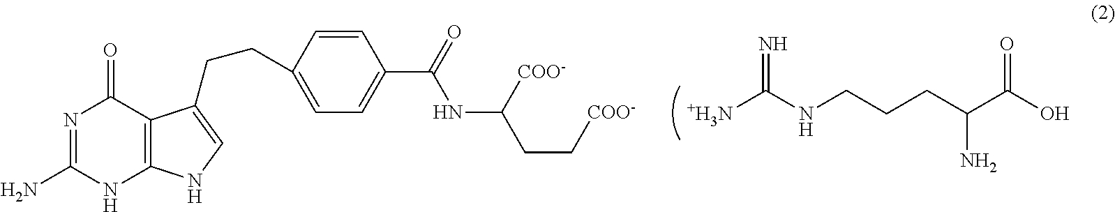
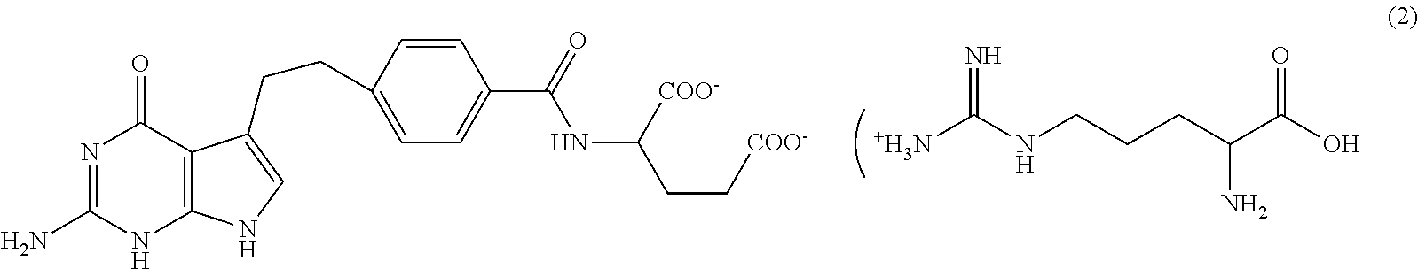
   Хімічна структура  

Торгова назва   Торгова назва     

Торгові назви є орієнтовними, а склад допоміжних речовин може бути різним залежно від країни та виробника

Pemetrexed Mylan Франція
Pemetrexed Ohre Pharma Франція
Pemetrexed Zentiva Франція
Стійкість в розчинах   ін'єкція   Стійкість в розчинах : Pemetrexed diarginine     
Контейнер Розчинник Концентрація температура Зберігання Тривалість стабільності Список літератури
скло Жодного 25 mg/ml 2-8°C Берегти від світла
14 День
4546
Рівень доказовості А

скло Жодного 25 mg/ml 2-8°C Зі світлом чи без
7 День
4702
Рівень доказовості А+

скло Жодного 25 mg/ml 22-25°C світло
1 День
4546
Рівень доказовості А

частково використані флакони Жодного 25 mg/ml 2-8°C Берегти від світла
7 День
4702
Рівень доказовості А+

частково використані флакони Жодного 25 mg/ml 25°C світло
4 День
4702
Рівень доказовості А+

Поліолефін Натрію хлорид 0,9% 12 mg/ml 2-8°C Берегти від світла
4 День
4546
Рівень доказовості А

Поліолефін Натрію хлорид 0,9% 12 mg/ml 22-25°C світло
1 День
4546
Рівень доказовості А

Поліолефін Натрію хлорид 0,9% 3 & 12 mg/ml 2-8°C Зі світлом чи без
28 День
4702
Рівень доказовості А+

Поліолефін Натрію хлорид 0,9% 3 & 12 mg/ml 20-25°C Зі світлом чи без
7 День
4702
Рівень доказовості А+

Поліолефін Натрію хлорид 0,9% 4,9 mg/ml 2-8°C Берегти від світла
4 День
4546
Рівень доказовості А

Поліолефін Натрію хлорид 0,9% 4,9 mg/ml 22-25°C світло
1 День
4546
Рівень доказовості А

Поліолефін Глюкоза 5% 12 mg/ml 2-8°C Берегти від світла
4 День
4546
Рівень доказовості А

Поліолефін Глюкоза 5% 12 mg/ml 22-25°C світло
1 День
4546
Рівень доказовості А

Поліолефін Глюкоза 5% 3 & 12 mg/ml 2-8°C Зі світлом чи без
28 День
4702
Рівень доказовості А+

Поліолефін Глюкоза 5% 3 & 12 mg/ml 20-25°C Зі світлом чи без
7 День
4702
Рівень доказовості А+

Поліолефін Глюкоза 5% 4,9 mg/ml 2-8°C Берегти від світла
4 День
4546
Рівень доказовості А

Поліолефін Глюкоза 5% 4,9 mg/ml 22-25°C світло
1 День
4546
Рівень доказовості А


  Mentions Légales