Последнее обновление :
18/03/2026
Цитостатическое средство   Pemetrexed diarginine  
Инъекция
Стабильность растворов Стабильность смесей Факторы, которые влияют на стабильность Совместимость Способы введения Библиография pdf
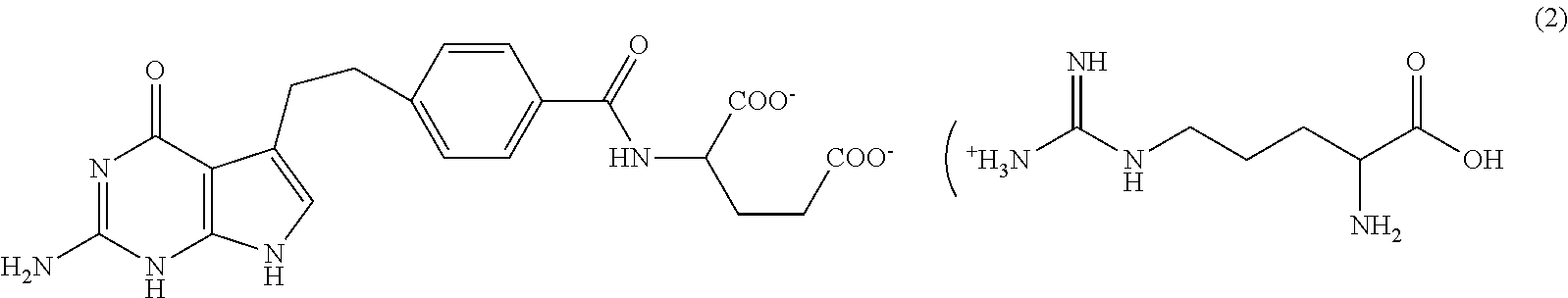
   Химическая структура  

Товарное название   Товарное название     

Trade names are indicative and excipients composition can be different depending on the country and manufacturers

Pemetrexed Mylan Франция
Pemetrexed Ohre Pharma Франция
Pemetrexed Zentiva Франция
Стабильность растворов   Инъекция   Стабильность растворов : Pemetrexed diarginine     
Упаковка Растворитель Концентрация Температура Хранение Продолжительность стабильности Ссылки
Стекло Нет 25 mg/ml 2-8°C Защищён от света
14 День
4546
Уровень доказательности A

Стекло Нет 25 mg/ml 2-8°C И на свету и в темноте
7 День
4702
Уровень доказательности A +

Стекло Нет 25 mg/ml 22-25°C Свет
1 День
4546
Уровень доказательности A

частично использованные флаконы Нет 25 mg/ml 2-8°C Защищён от света
7 День
4702
Уровень доказательности A +

частично использованные флаконы Нет 25 mg/ml 25°C Свет
4 День
4702
Уровень доказательности A +

Полиолефин Натрия хлорид 0,9% 12 mg/ml 2-8°C Защищён от света
4 День
4546
Уровень доказательности A

Полиолефин Натрия хлорид 0,9% 12 mg/ml 22-25°C Свет
1 День
4546
Уровень доказательности A

Полиолефин Натрия хлорид 0,9% 3 & 12 mg/ml 2-8°C И на свету и в темноте
28 День
4702
Уровень доказательности A +

Полиолефин Натрия хлорид 0,9% 3 & 12 mg/ml 20-25°C И на свету и в темноте
7 День
4702
Уровень доказательности A +

Полиолефин Натрия хлорид 0,9% 4,9 mg/ml 2-8°C Защищён от света
4 День
4546
Уровень доказательности A

Полиолефин Натрия хлорид 0,9% 4,9 mg/ml 22-25°C Свет
1 День
4546
Уровень доказательности A

Полиолефин Глюкоза 5% 12 mg/ml 2-8°C Защищён от света
4 День
4546
Уровень доказательности A

Полиолефин Глюкоза 5% 12 mg/ml 22-25°C Свет
1 День
4546
Уровень доказательности A

Полиолефин Глюкоза 5% 3 & 12 mg/ml 2-8°C И на свету и в темноте
28 День
4702
Уровень доказательности A +

Полиолефин Глюкоза 5% 3 & 12 mg/ml 20-25°C И на свету и в темноте
7 День
4702
Уровень доказательности A +

Полиолефин Глюкоза 5% 4,9 mg/ml 2-8°C Защищён от света
4 День
4546
Уровень доказательности A

Полиолефин Глюкоза 5% 4,9 mg/ml 22-25°C Свет
1 День
4546
Уровень доказательности A


  Mentions Légales