Laatste update :
27/01/2026
geneesmiddel tegen kanker   Pemetrexed diarginine  
injecteerbaar geneesmiddel
Stabiliteit in oplossing Stabiliteit in mengsels Factoren die de stabiliteit beïnvloeden Verenigbaarheden Toedieningswijze Literatuur pdf
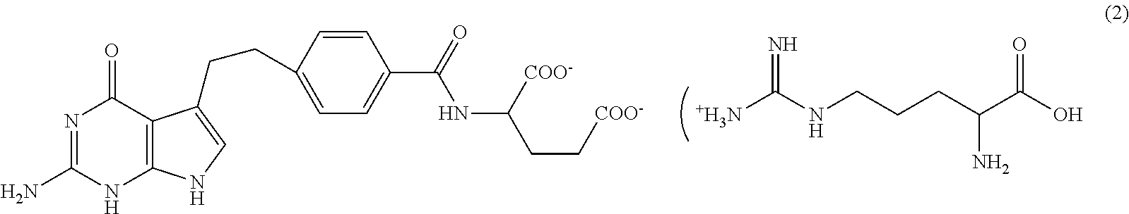
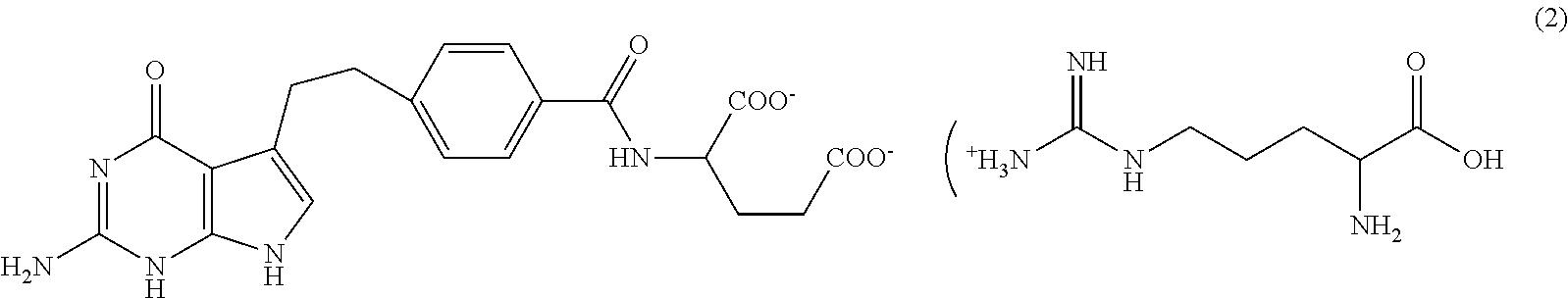
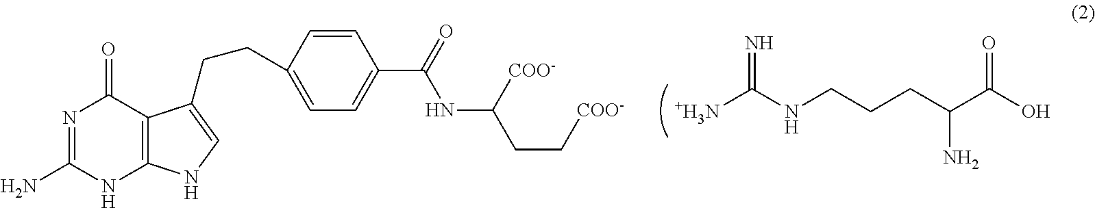
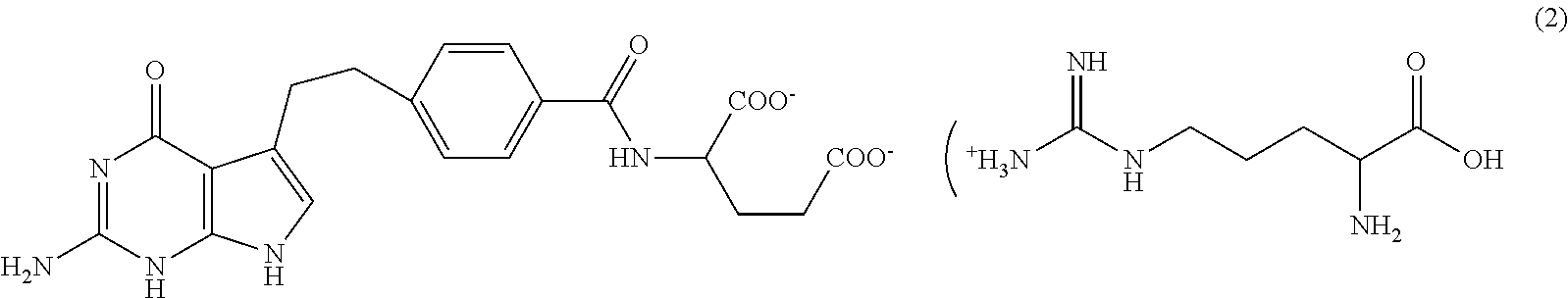
   Molecuulstructuur  

Merknamen in verschillende landen   Merknamen in verschillende landen     

Handelsnamen zijn slechts een indicatie; de samenstelling van hulpstoffen kan per land variëren afhankelijk van de fabrikant

Pemetrexed Mylan Frankrijk
Pemetrexed Ohre Pharma Frankrijk
Pemetrexed Zentiva Frankrijk
Stabiliteit in oplossing   injecteerbaar geneesmiddel   Stabiliteit in oplossing : Pemetrexed diarginine     
Verpakking Oplosmiddel Concentratie Temperatuur Bewaring Duur van de stabiliteit Literatuur
Glas Geen 25 mg/ml 2-8°C Buiten invloed van licht
14 Dag
4546
Bewijsniveau A

Glas Geen 25 mg/ml 2-8°C Met of zonder licht
7 Dag
4702
Bewijsniveau A+

Glas Geen 25 mg/ml 22-25°C Licht
1 Dag
4546
Bewijsniveau A

gedeeltelijk gebruikte flessen Geen 25 mg/ml 2-8°C Buiten invloed van licht
7 Dag
4702
Bewijsniveau A+

gedeeltelijk gebruikte flessen Geen 25 mg/ml 25°C Licht
4 Dag
4702
Bewijsniveau A+

Polyolefine Natriumchloride 0,9% 12 mg/ml 2-8°C Buiten invloed van licht
4 Dag
4546
Bewijsniveau A

Polyolefine Natriumchloride 0,9% 12 mg/ml 22-25°C Licht
1 Dag
4546
Bewijsniveau A

Polyolefine Natriumchloride 0,9% 3 & 12 mg/ml 2-8°C Met of zonder licht
28 Dag
4702
Bewijsniveau A+

Polyolefine Natriumchloride 0,9% 3 & 12 mg/ml 20-25°C Met of zonder licht
7 Dag
4702
Bewijsniveau A+

Polyolefine Natriumchloride 0,9% 4,9 mg/ml 2-8°C Buiten invloed van licht
4 Dag
4546
Bewijsniveau A

Polyolefine Natriumchloride 0,9% 4,9 mg/ml 22-25°C Licht
1 Dag
4546
Bewijsniveau A

Polyolefine Glucose 5% 12 mg/ml 2-8°C Buiten invloed van licht
4 Dag
4546
Bewijsniveau A

Polyolefine Glucose 5% 12 mg/ml 22-25°C Licht
1 Dag
4546
Bewijsniveau A

Polyolefine Glucose 5% 3 & 12 mg/ml 2-8°C Met of zonder licht
28 Dag
4702
Bewijsniveau A+

Polyolefine Glucose 5% 3 & 12 mg/ml 20-25°C Met of zonder licht
7 Dag
4702
Bewijsniveau A+

Polyolefine Glucose 5% 4,9 mg/ml 2-8°C Buiten invloed van licht
4 Dag
4546
Bewijsniveau A

Polyolefine Glucose 5% 4,9 mg/ml 22-25°C Licht
1 Dag
4546
Bewijsniveau A


  Mentions Légales