Ostatnia aktualizacja :
27/01/2026
Lek cytostatyk   Pemetrexed diarginine  
Injekcje
Trwałość roztworów Trwałość w mieszaninie Czynnik wpływający na trwałość Zgodność Sposób podania Bibliografia pdf
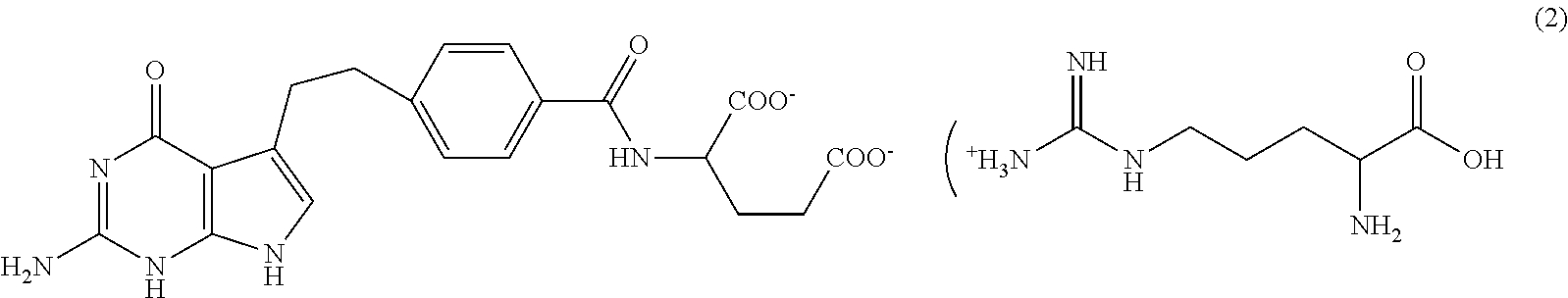
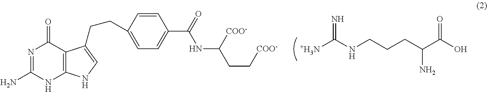
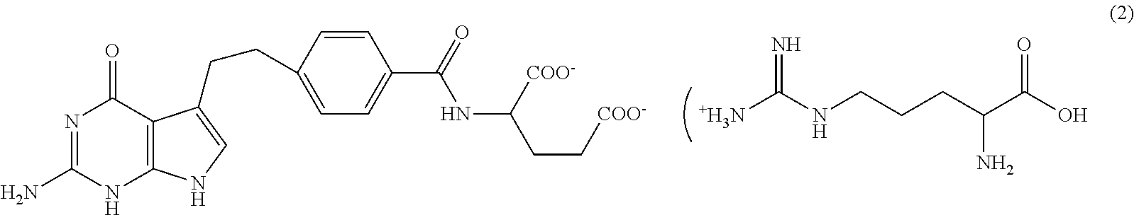
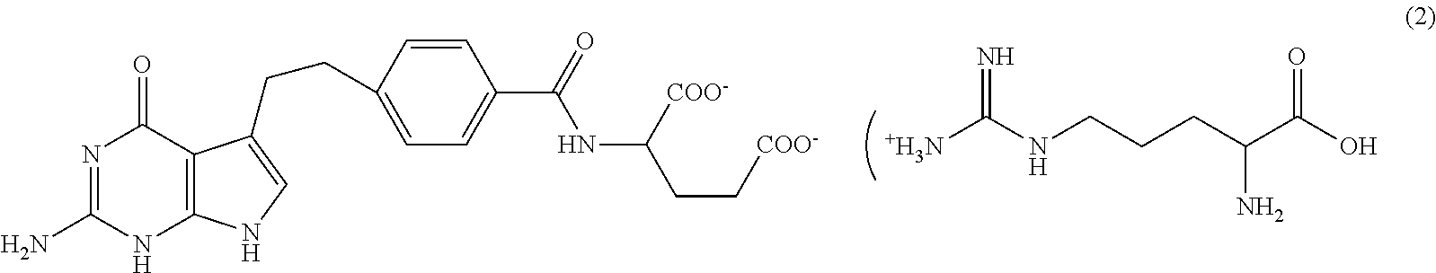
   Struktura chemiczna  

Nazwa handlowa   Nazwa handlowa     

Trade names are indicative and excipients composition can be different depending on the country and manufacturers

Pemetrexed Mylan Francja
Pemetrexed Ohre Pharma Francja
Pemetrexed Zentiva Francja
Trwałość roztworów   Injekcje   Trwałość roztworów : Pemetrexed diarginine     
Pojemnik Rozpuszczalnik Stężenie Temperatura Przechowywanie Czas trwania stabilności Bibliografia
Szkło Żaden 25 mg/ml 2-8°C Chronić od światła
14 Dzień
4546
Poziom wiarygodności A

Szkło Żaden 25 mg/ml 2-8°C Przy świetle lub w ciemności
7 Dzień
4702
Poziom wiarygodności A+

Szkło Żaden 25 mg/ml 22-25°C światło
1 Dzień
4546
Poziom wiarygodności A

fiolki częściowo zużyte Żaden 25 mg/ml 2-8°C Chronić od światła
7 Dzień
4702
Poziom wiarygodności A+

fiolki częściowo zużyte Żaden 25 mg/ml 25°C światło
4 Dzień
4702
Poziom wiarygodności A+

Poliolefina Chlorek sodu 0,9% 12 mg/ml 2-8°C Chronić od światła
4 Dzień
4546
Poziom wiarygodności A

Poliolefina Chlorek sodu 0,9% 12 mg/ml 22-25°C światło
1 Dzień
4546
Poziom wiarygodności A

Poliolefina Chlorek sodu 0,9% 3 & 12 mg/ml 2-8°C Przy świetle lub w ciemności
28 Dzień
4702
Poziom wiarygodności A+

Poliolefina Chlorek sodu 0,9% 3 & 12 mg/ml 20-25°C Przy świetle lub w ciemności
7 Dzień
4702
Poziom wiarygodności A+

Poliolefina Chlorek sodu 0,9% 4,9 mg/ml 2-8°C Chronić od światła
4 Dzień
4546
Poziom wiarygodności A

Poliolefina Chlorek sodu 0,9% 4,9 mg/ml 22-25°C światło
1 Dzień
4546
Poziom wiarygodności A

Poliolefina Glukoza 5% 12 mg/ml 2-8°C Chronić od światła
4 Dzień
4546
Poziom wiarygodności A

Poliolefina Glukoza 5% 12 mg/ml 22-25°C światło
1 Dzień
4546
Poziom wiarygodności A

Poliolefina Glukoza 5% 3 & 12 mg/ml 2-8°C Przy świetle lub w ciemności
28 Dzień
4702
Poziom wiarygodności A+

Poliolefina Glukoza 5% 3 & 12 mg/ml 20-25°C Przy świetle lub w ciemności
7 Dzień
4702
Poziom wiarygodności A+

Poliolefina Glukoza 5% 4,9 mg/ml 2-8°C Chronić od światła
4 Dzień
4546
Poziom wiarygodności A

Poliolefina Glukoza 5% 4,9 mg/ml 22-25°C światło
1 Dzień
4546
Poziom wiarygodności A


  Mentions Légales