Última actualización :
27/01/2026
fármacos contra el cáncer   Pemetrexed diarginine  
Inyectables
Estabilidad en solucion Estabilidad en mezcla Factores que influyen sobre la estabilidad Compatibilidades método de inyección Bibliografía pdf
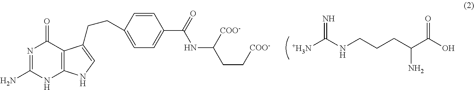
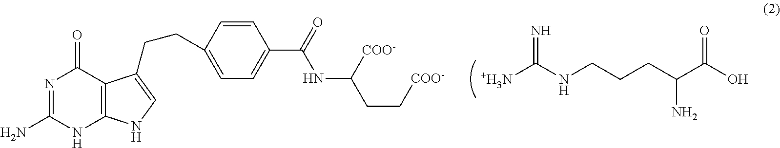
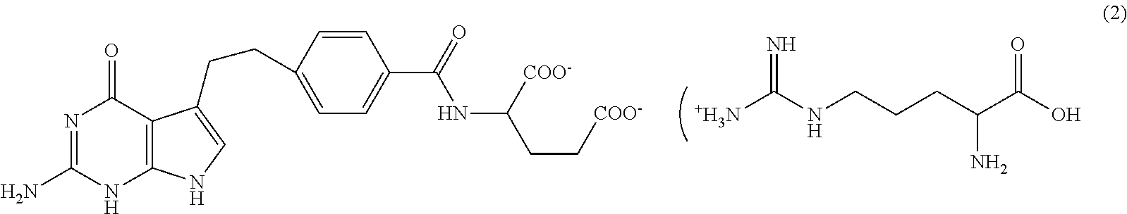
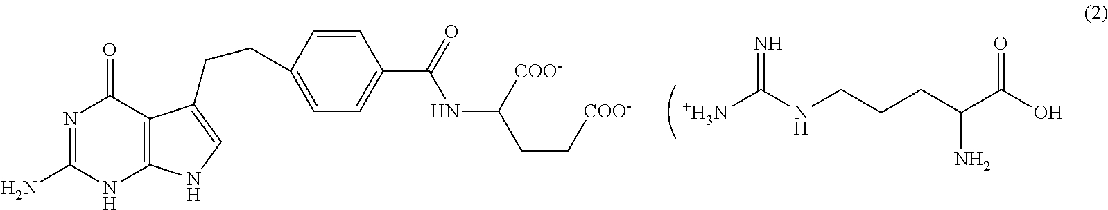
   Estructura química  

Nombre comercial   Nombre comercial     

Los nombres comerciales son orientativos y los excipientes de la formulación pueden ser distintos dependiendo del país y del laboratorio fabricante.

Pemetrexed Mylan Francia
Pemetrexed Ohre Pharma Francia
Pemetrexed Zentiva Francia
Estabilidad en solucion   Inyectables   Estabilidad en solucion : Pemetrexed diarginine     
Envase Solvente Concentración Temperatura Conservación Duración de la estabilidad Bibliografía
Vidrio Ninguno 25 mg/ml 2-8°C A cubierto de la luz
14 Día
4546
Nivel de evidencia A

Vidrio Ninguno 25 mg/ml 2-8°C Con o sin luz
7 Día
4702
Nivel de evidencia A+

Vidrio Ninguno 25 mg/ml 22-25°C Luz
1 Día
4546
Nivel de evidencia A

botellas parcialmente usadas Ninguno 25 mg/ml 2-8°C A cubierto de la luz
7 Día
4702
Nivel de evidencia A+

botellas parcialmente usadas Ninguno 25 mg/ml 25°C Luz
4 Día
4702
Nivel de evidencia A+

Poliolefina Cloruro de sodio 0,9% 12 mg/ml 2-8°C A cubierto de la luz
4 Día
4546
Nivel de evidencia A

Poliolefina Cloruro de sodio 0,9% 12 mg/ml 22-25°C Luz
1 Día
4546
Nivel de evidencia A

Poliolefina Cloruro de sodio 0,9% 3 & 12 mg/ml 2-8°C Con o sin luz
28 Día
4702
Nivel de evidencia A+

Poliolefina Cloruro de sodio 0,9% 3 & 12 mg/ml 20-25°C Con o sin luz
7 Día
4702
Nivel de evidencia A+

Poliolefina Cloruro de sodio 0,9% 4,9 mg/ml 2-8°C A cubierto de la luz
4 Día
4546
Nivel de evidencia A

Poliolefina Cloruro de sodio 0,9% 4,9 mg/ml 22-25°C Luz
1 Día
4546
Nivel de evidencia A

Poliolefina Glucosa 5% 12 mg/ml 2-8°C A cubierto de la luz
4 Día
4546
Nivel de evidencia A

Poliolefina Glucosa 5% 12 mg/ml 22-25°C Luz
1 Día
4546
Nivel de evidencia A

Poliolefina Glucosa 5% 3 & 12 mg/ml 2-8°C Con o sin luz
28 Día
4702
Nivel de evidencia A+

Poliolefina Glucosa 5% 3 & 12 mg/ml 20-25°C Con o sin luz
7 Día
4702
Nivel de evidencia A+

Poliolefina Glucosa 5% 4,9 mg/ml 2-8°C A cubierto de la luz
4 Día
4546
Nivel de evidencia A

Poliolefina Glucosa 5% 4,9 mg/ml 22-25°C Luz
1 Día
4546
Nivel de evidencia A


  Mentions Légales