fermer
最新更新 :
17/12/2025
Infostab
薬剤一覧
まとめ一覧
互換性の検索
Yサイト対応表
引用文献
研究チーム
valistab
ポスター
接続
スポンサー
作成者
ユーザーガイド
ニュースレター
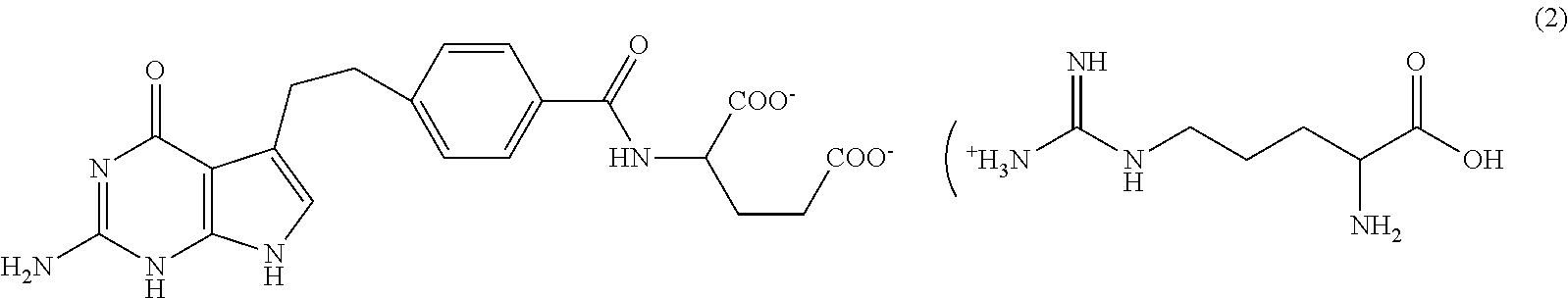
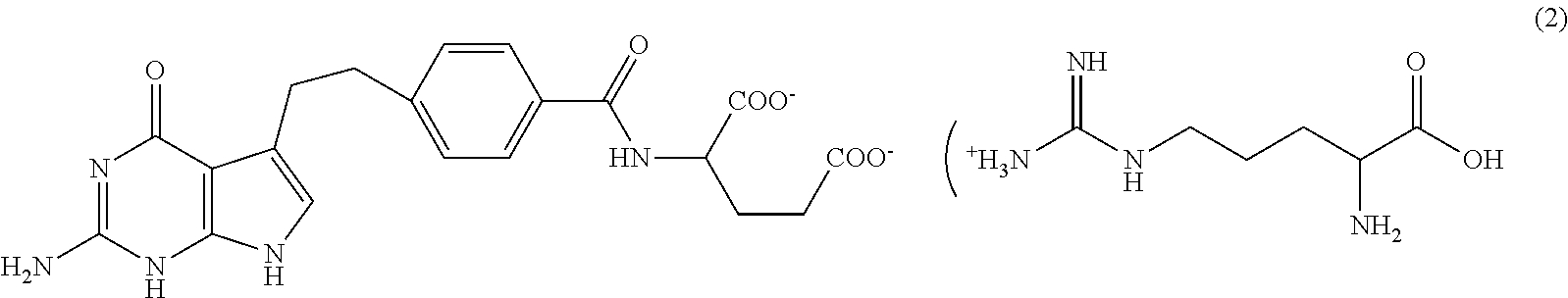
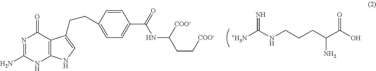
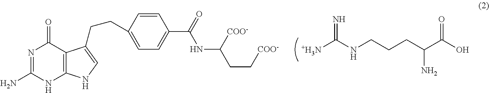
Pemetrexed diarginine
化学構造
商品名
商品名、賦形剤は国、製薬会社ごとに異なることがあります
Pemetrexed Mylan
フランス
Pemetrexed Ohre Pharma
フランス
Pemetrexed Zentiva
フランス
引用文献 : Pemetrexed diarginine
形式
出版物
4546
雑誌
Vidal F, Cotteret C, Negbane A, Sebti M, Hinterlang M, Cisternino S, Schlatter J.
Stability of pemetrexed diarginine concentrates for solution in vials and diluted in 0.9% sodium chloride and dextrose 5% polyolefin infusion bags.
EJHP 2021
4589
実験
Pemetrexed Viatris- Résumé des caractéristiques du produit
Viatris 2025
4702
雑誌
Nisse Y-E, Sobalak N, Vigneron J, Demoré B.
Physicochemical stability of pemetrexed diarginine at 25 mg/mL in partially-used vials and at 3 and 12 mg/mL diluted in dextrose 5% or in sodium chloride 0.9% in polyolefin bags.
EJOP 2022 ; 5: 2.
Mentions Légales