fermer
最新更新 :
17/12/2025
Infostab
药品清单
简要表
搜索兼容性
Y 站点兼容性表
引用文献
研究小組
valistab
海报
鏈接
贊助商
作者
使用指南
时讯
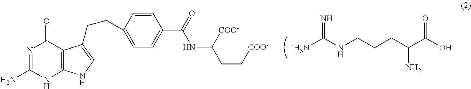
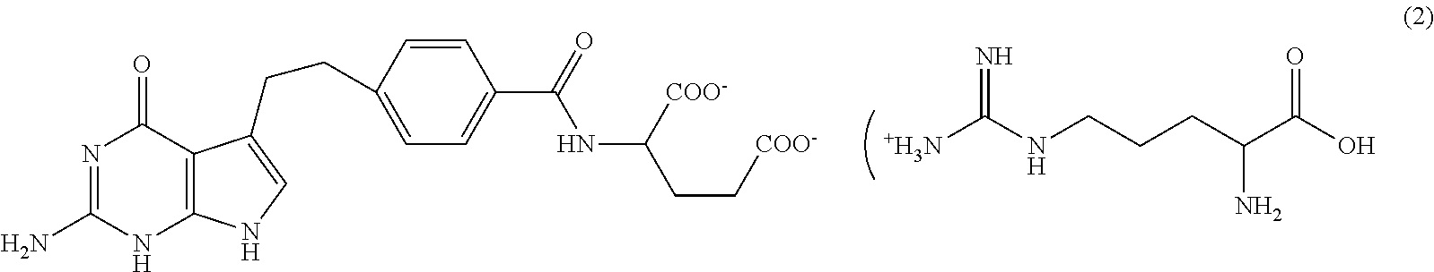
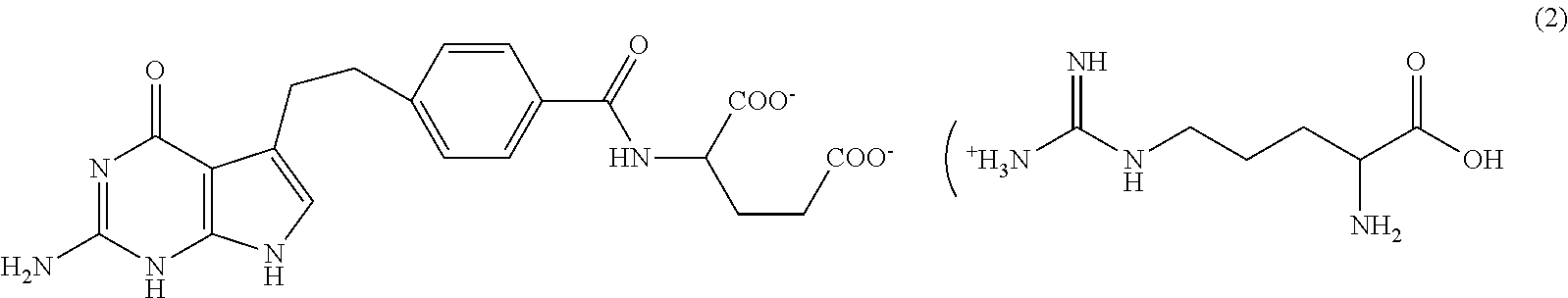
Pemetrexed diarginine
化学式
商品名
商品名仅供参考, 药品所用的辅料可能依国家或厂商不同有所不同。
Pemetrexed Mylan
法国
Pemetrexed Ohre Pharma
法国
Pemetrexed Zentiva
法国
引用文献 : Pemetrexed diarginine
种类
出版物
4546
文献
Vidal F, Cotteret C, Negbane A, Sebti M, Hinterlang M, Cisternino S, Schlatter J.
Stability of pemetrexed diarginine concentrates for solution in vials and diluted in 0.9% sodium chloride and dextrose 5% polyolefin infusion bags.
EJHP 2021
4589
实验室
Pemetrexed Viatris- Résumé des caractéristiques du produit
Viatris 2025
4702
文献
Nisse Y-E, Sobalak N, Vigneron J, Demoré B.
Physicochemical stability of pemetrexed diarginine at 25 mg/mL in partially-used vials and at 3 and 12 mg/mL diluted in dextrose 5% or in sodium chloride 0.9% in polyolefin bags.
EJOP 2022 ; 5: 2.
Mentions Légales