Dernière mise à jour :
27/04/2026
Anticancéreux   Pemetrexed diarginine  
injectable
Stabilité des solutions Stabilité en mélange Facteur influençant la stabilité Compatibilités Voie d’administration Bibliographie pdf
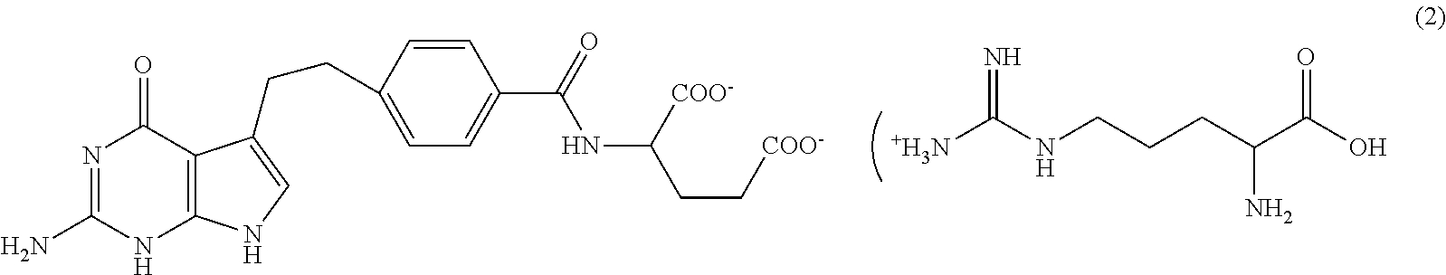
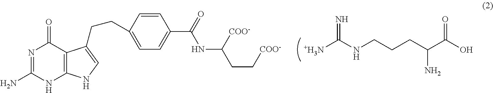
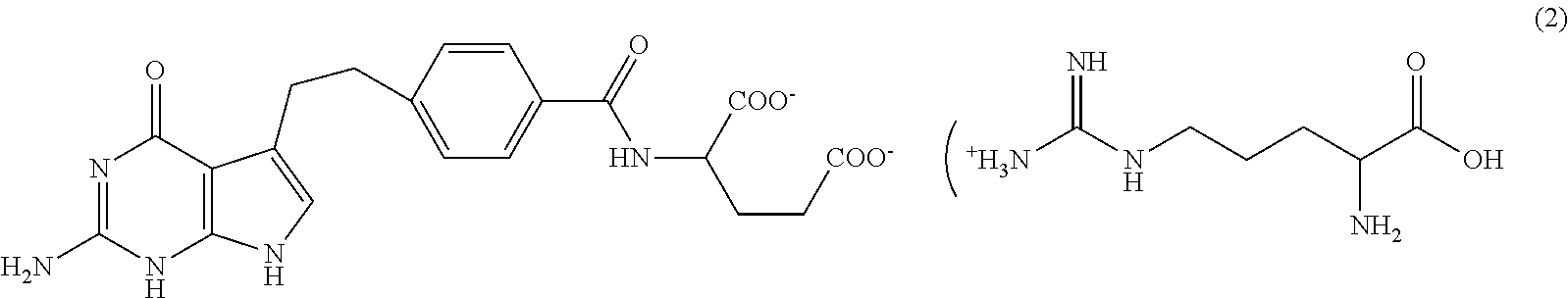
   Structure chimique  

Noms commerciaux   Noms commerciaux     

Les noms commerciaux sont donnés à titre indicatif et la composition en excipients peut être différente selon les pays et selon les laboratoires

Pemetrexed Mylan France
Pemetrexed Ohre Pharma France
Pemetrexed Zentiva France
Bibliographie   injectable   Bibliographie : Pemetrexed diarginine  

  Mentions Légales