Zadnji put ažurirano :
27/04/2026
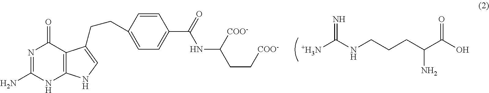
lijek protiv karcinoma   Pemetrexed diarginine  
injekcija
Stabilizacija rješenja Stabilnost mješavine Stabilizacijski faktor Kompatibilnosti način davanja lijeka Bibliografija pdf
   Kemijska struktura  

Nekomercijalni   Nekomercijalni     

Zaštićeni nazivi su indikativni i sastav ekscipijensa može biti različit ovisno o državi i laboratorijima

Pemetrexed Mylan Francuska
Pemetrexed Ohre Pharma Francuska
Pemetrexed Zentiva Francuska
Bibliografija   injekcija   Bibliografija : Pemetrexed diarginine  

  Mentions Légales