fermer
viimane versioon :
17/12/2025
Infostab
ingredientide nimekiri
nimekiri
Sobivus otsing
Y-liini sobivuse tabel
Viited
uurimisrühmad
valistab
plakat
Sidemed
sponsorid
Autor
Kasutusjuhend
ajakiri
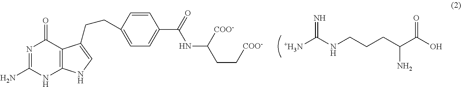
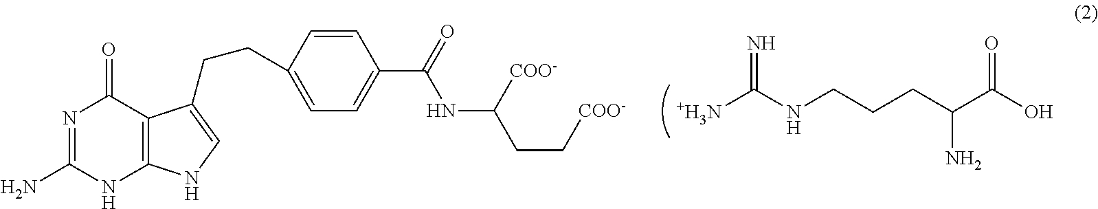
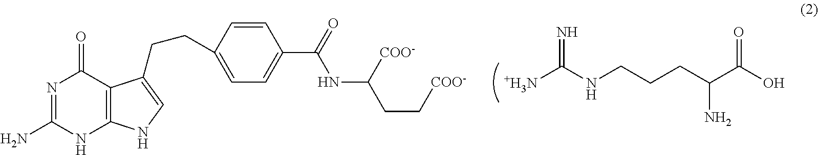
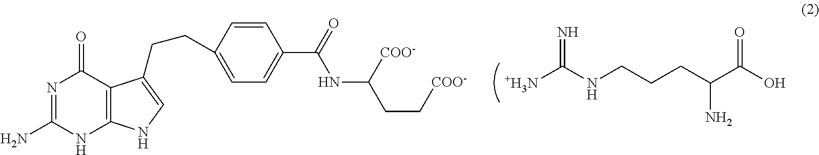
Pemetrexed diarginine
keemiline struktuur
Kaubanduslikud nimed erinevates maades
Preparaatide nimed on näitlikud ja abianete sisaldus võib erineda sõltuvalt riigist ja laborist
Pemetrexed Mylan
Prantsusmaa
Pemetrexed Ohre Pharma
Prantsusmaa
Pemetrexed Zentiva
Prantsusmaa
Viited : Pemetrexed diarginine
tüüp
avaldamine
4546
ajaleht
Vidal F, Cotteret C, Negbane A, Sebti M, Hinterlang M, Cisternino S, Schlatter J.
Stability of pemetrexed diarginine concentrates for solution in vials and diluted in 0.9% sodium chloride and dextrose 5% polyolefin infusion bags.
EJHP 2021
4589
Labor
Pemetrexed Viatris- Résumé des caractéristiques du produit
Viatris 2025
4702
ajaleht
Nisse Y-E, Sobalak N, Vigneron J, Demoré B.
Physicochemical stability of pemetrexed diarginine at 25 mg/mL in partially-used vials and at 3 and 12 mg/mL diluted in dextrose 5% or in sodium chloride 0.9% in polyolefin bags.
EJOP 2022 ; 5: 2.
Mentions Légales