zadnja posodobitev :
18/03/2026
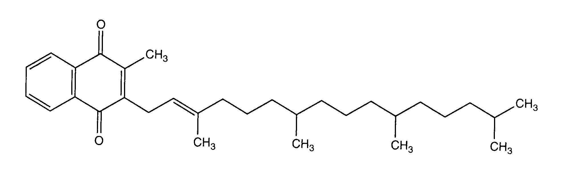
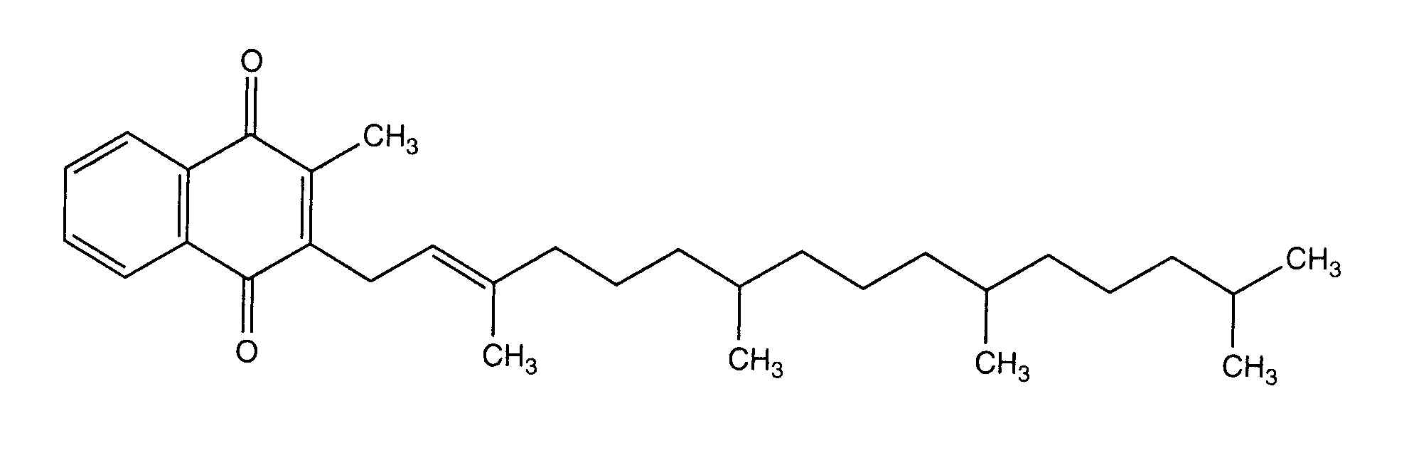
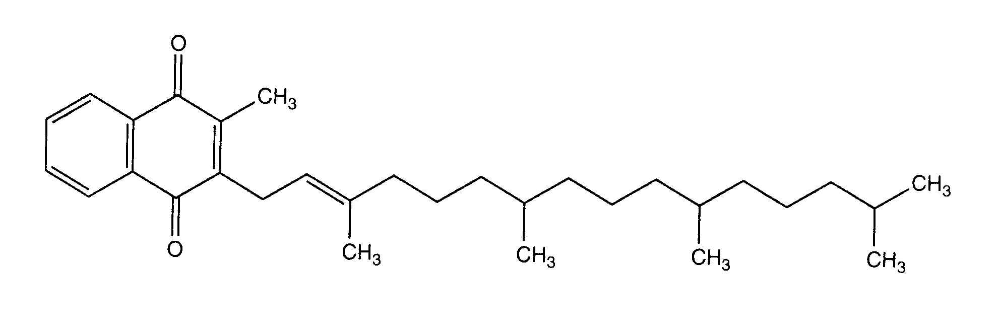
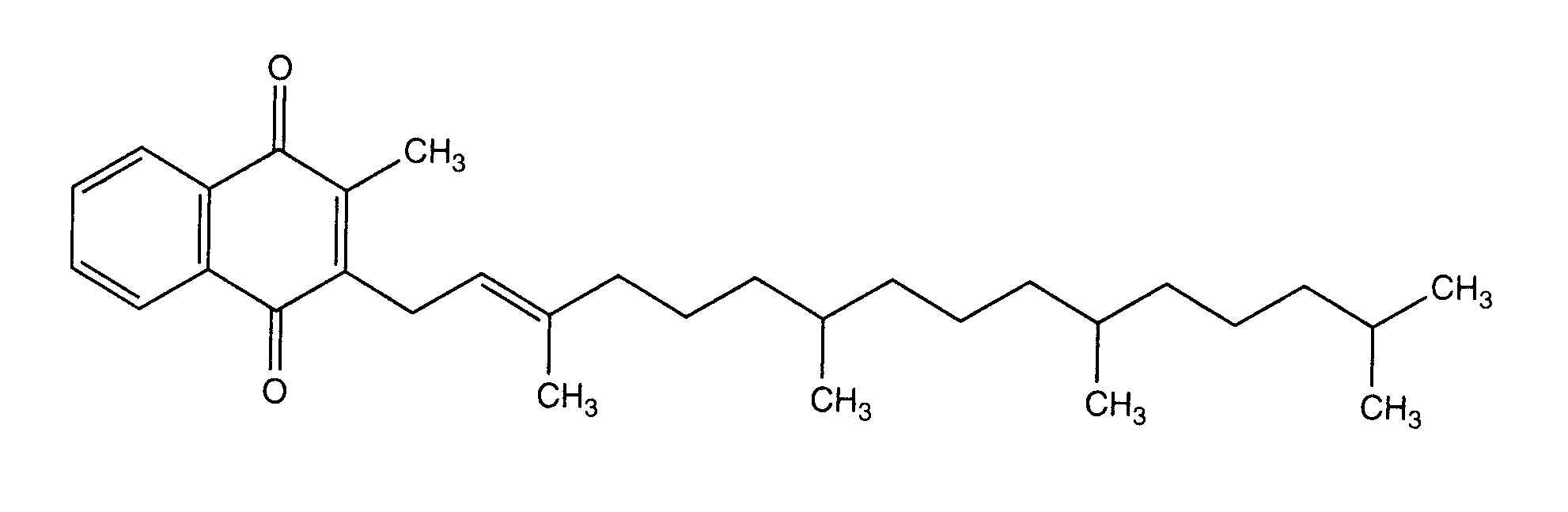
Vitamin   Phytomenadione  
Brizgalka
Peroralna raztopina
Stabilnost raztopine Stabilnost mešanice Faktorji, ki vplivajo na stabilnost Kompatibilnost način aplikacije Viri pdf
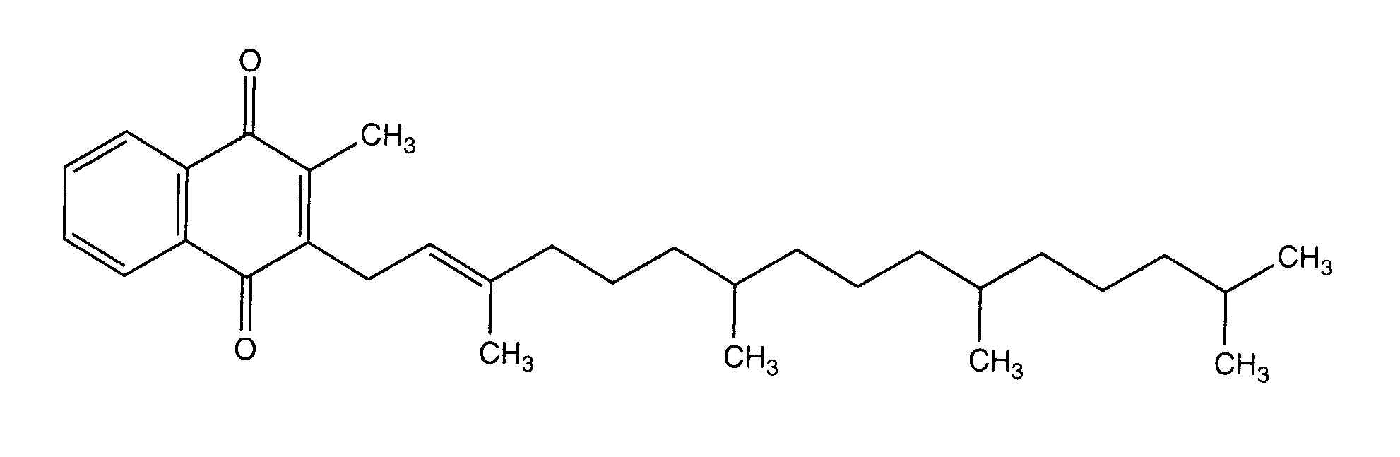
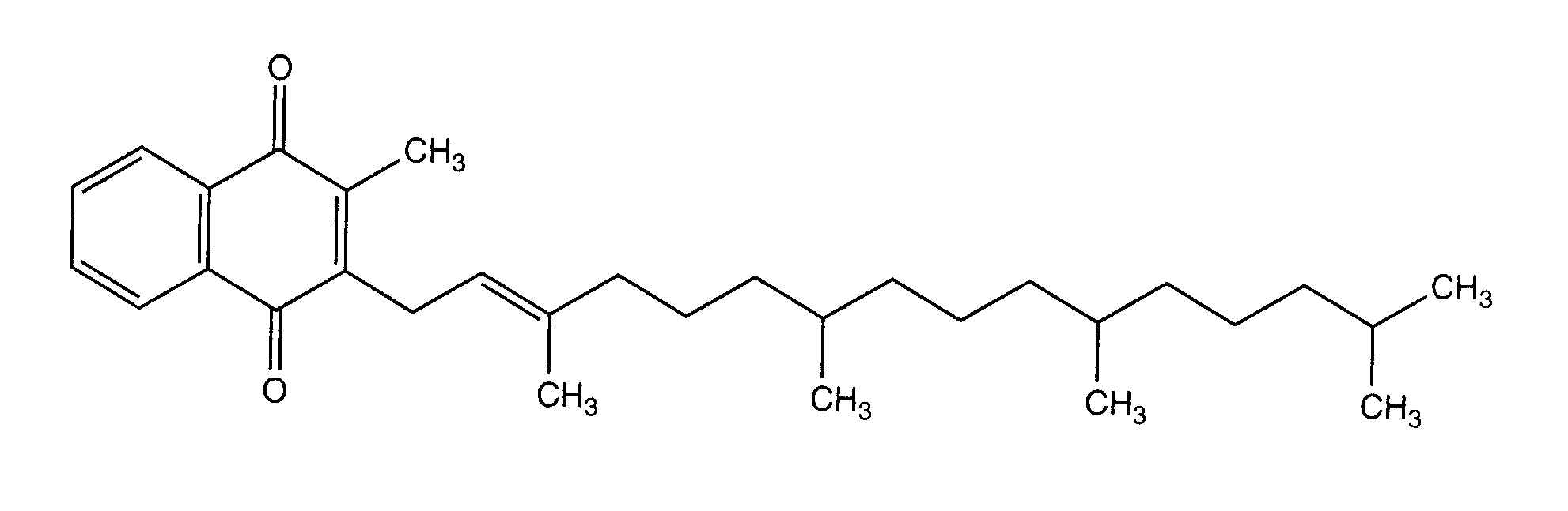
   Kemična formula  

Lastniško ime   Lastniško ime     

Sestava pomožnih snovi je med paralelami lahko različna

Adcokion Egipt
Amidalak Mehika
Amri-K Egipt
Aquamephyton Združene države Amerike
Epikavit Egipt
Haemokion Egipt
Hyvit Brazilija
Kanakion Brazilija, Portugalska
Kavit Brazilija
Kenadion Indija
Kisan Malezija
Konakion Argentina, Avstrija, Belgija, Čile, Danska, Egipt, Ekvador, Finska, Grčija, Hrvaška, Irska, Islandija, Italija, Kolumbija, Luksemburg, Madžarska, Maroko, Nemčija, Nizozemska, Norveška, nova Zelandija, Poljska, Savdska Arabija, Španija, Švedska, Švica, Turčija, Velika Britanija, Združeni arabski emirati
Oskavit Iran
Rupek Argentina
Vikadic Iran
Vitatron Brazilija
način aplikacije   način aplikacije :Phytomenadione     
Voie
Intravensko
Intravenska infuzija
Intramuskularno
Podkožno

  Mentions Légales