Última actualização :
18/03/2026
Vitamina   Phytomenadione  
injetável
Solução Oral
Estabilidade em soluções simples Estabilidade em misturas Factores que afectam a sua estabilidade Compatibilidade Método de administração Bibliografía pdf
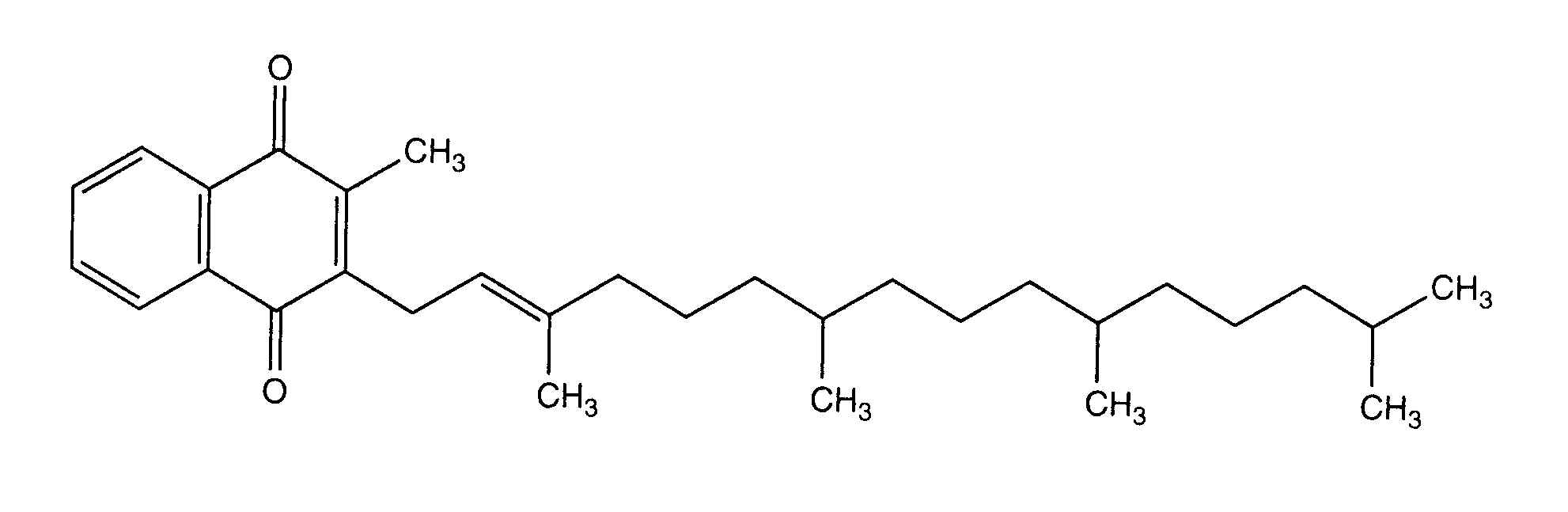
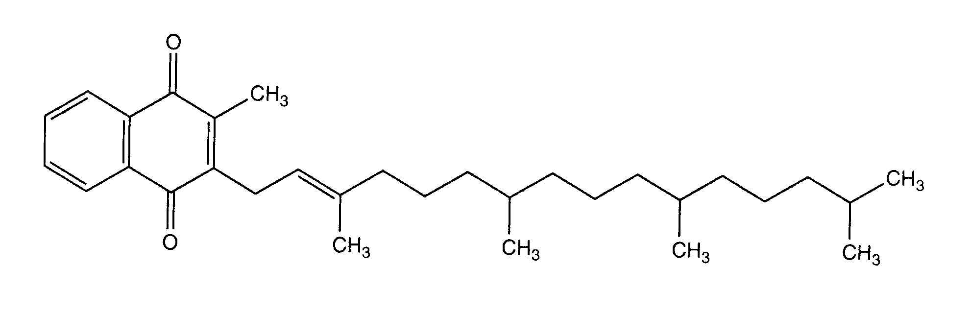
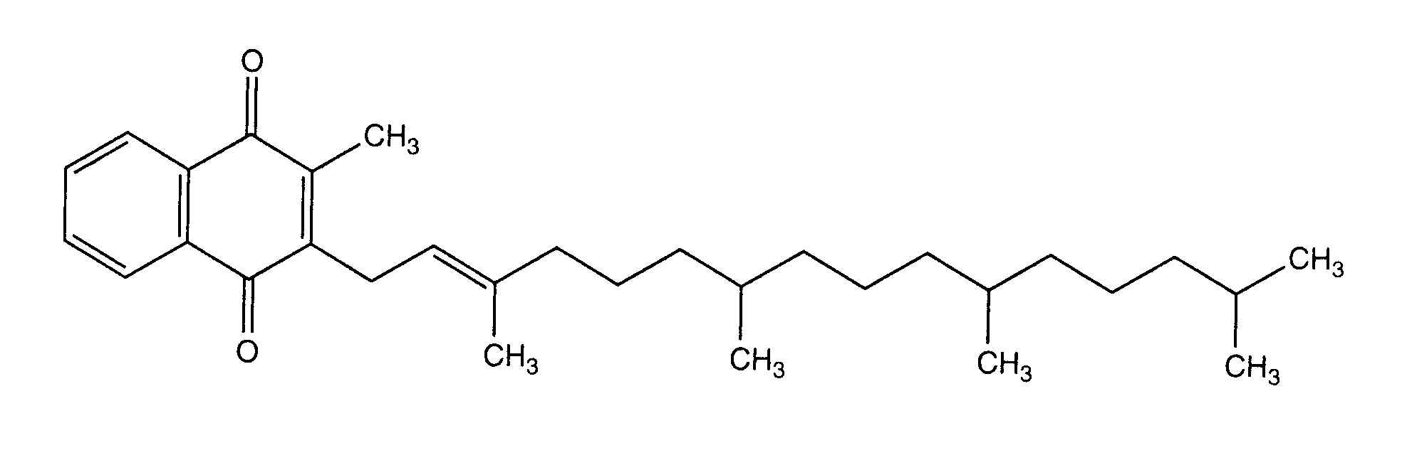
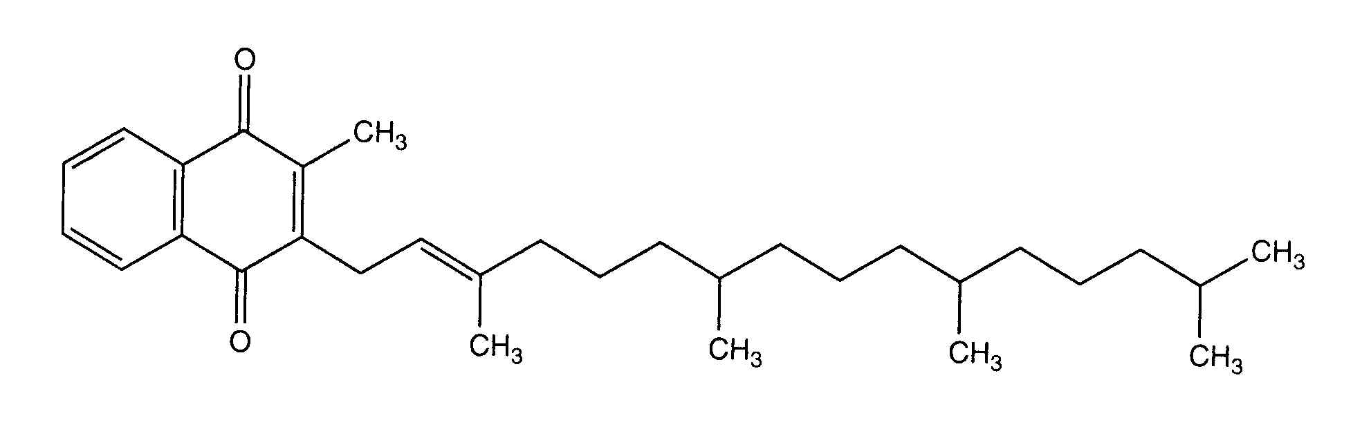
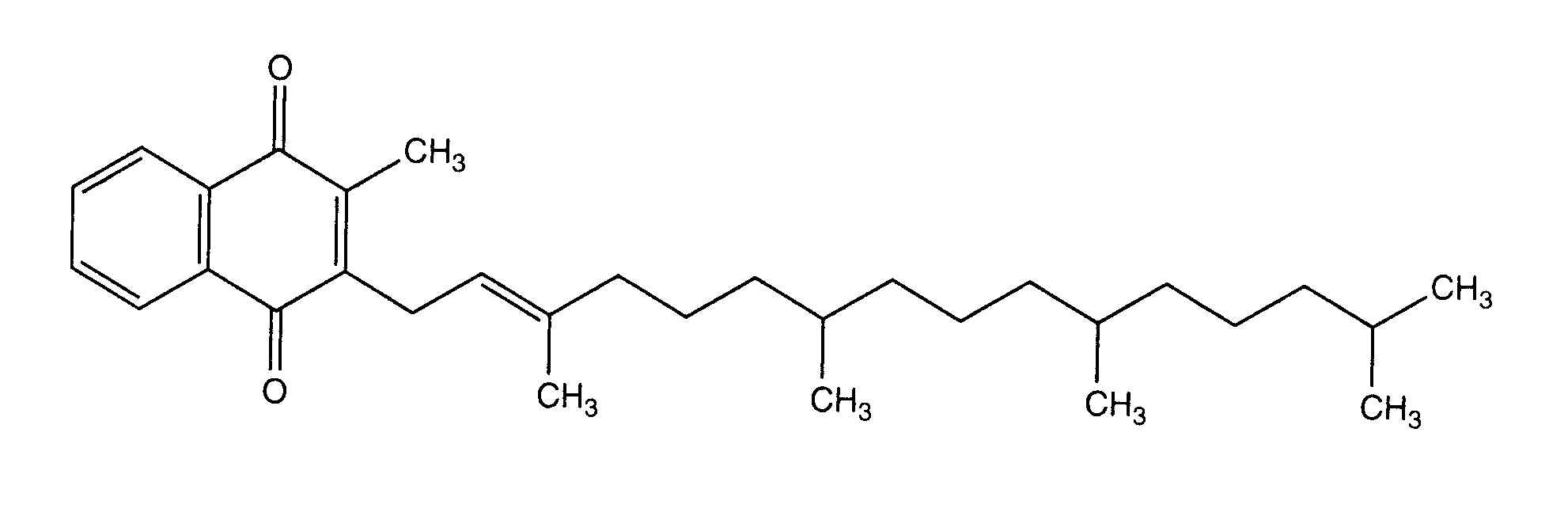
   estrutura química  

Nomes comerciais nos diversos países   Nomes comerciais nos diversos países     

OS NOMES COMERCIAIS SÃO INDICATIVOS E OS EXCIPIENTES DA FORMULAÇÃO PODEM SER DIFERENTES CONFORME O PAÍS E FABRICANTE.

Adcokion Egipto
Amidalak México
Amri-K Egipto
Aquamephyton Estados Unidos de América
Epikavit Egipto
Haemokion Egipto
Hyvit Brasil
Kanakion Brasil, Portugal
Kavit Brasil
Kenadion Índia
Kisan Malásia
Konakion Alemanha, Arábia Saudita, Argentina, Austria, Bélgica, Chilli, Colômbia, Croácia, Dinamarca, Egipto, Emirados Árabes Unidos, Equator, Espanha, Finlandia, Gran-bretanha, Grècia, Hungria, Irlanda, Islandia, Itália, Luxemburgo, Marrocos, Noruega, nova Zelândia, Países Baixos, Polonia, Suècia, Suicia, Turquia
Oskavit Irã
Rupek Argentina
Vikadic Irã
Vitatron Brasil
Método de administração   Método de administração :Phytomenadione     
Voie
intravenoso
perfusão intravenosa
intramuscular
Subcutánea

  Mentions Légales