Last update :
18/03/2026
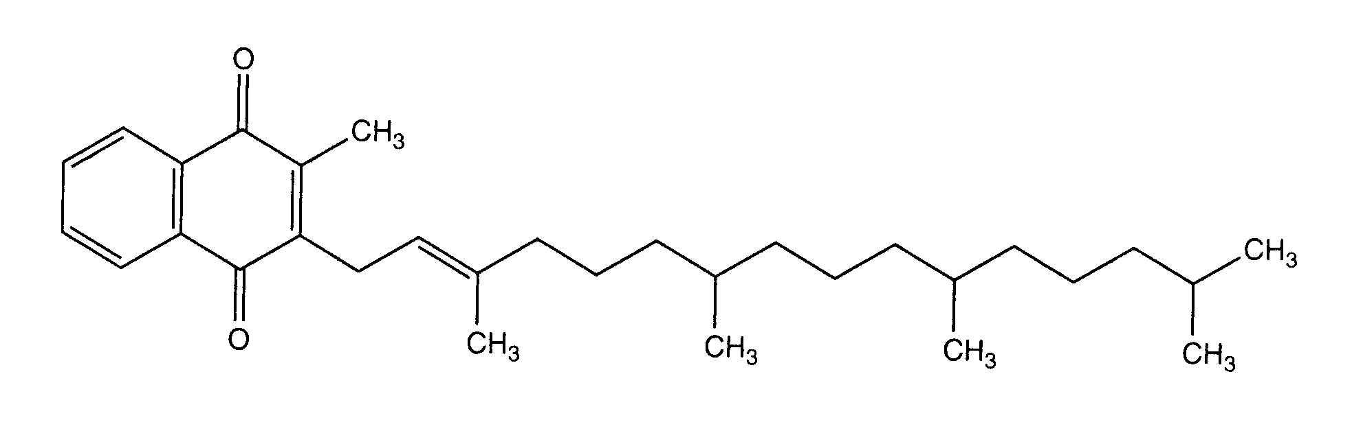
Vitamin   Phytomenadione  
injection
Oral solution
Stability in solutions Stability of mixtures Factors which affect stability Compatibility Route of administration References pdf
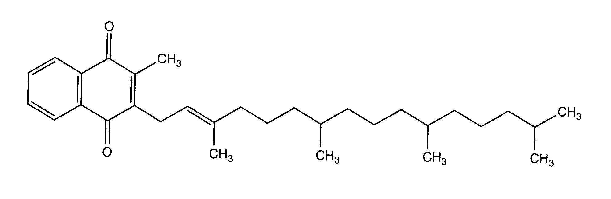
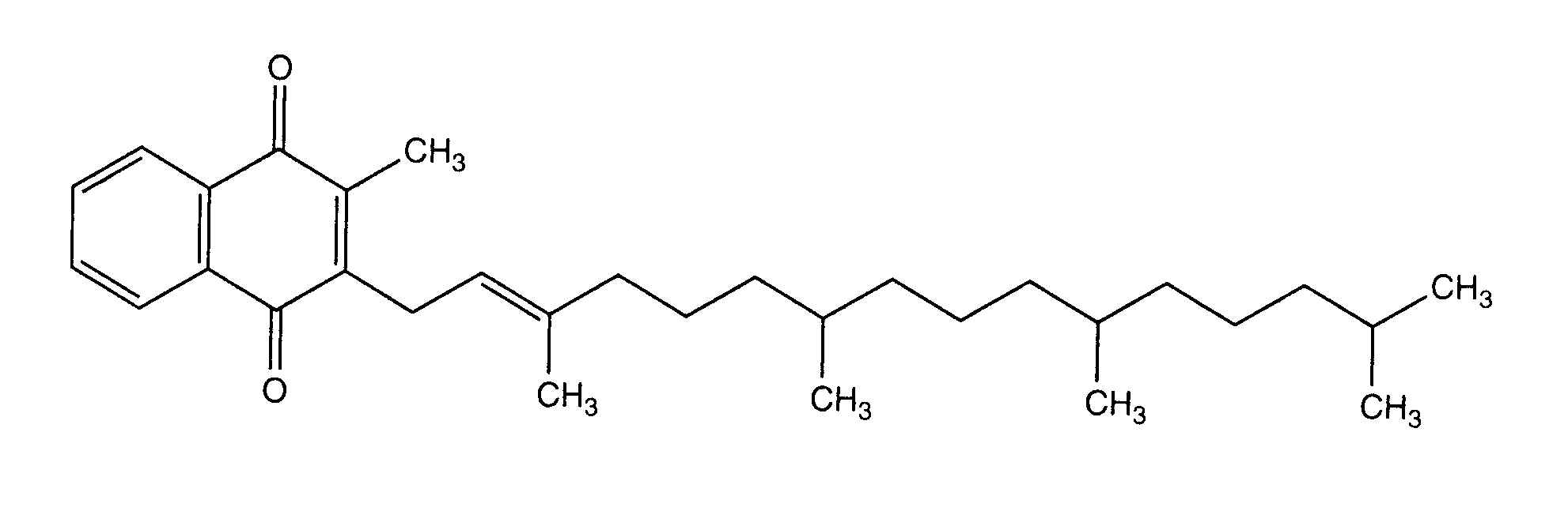
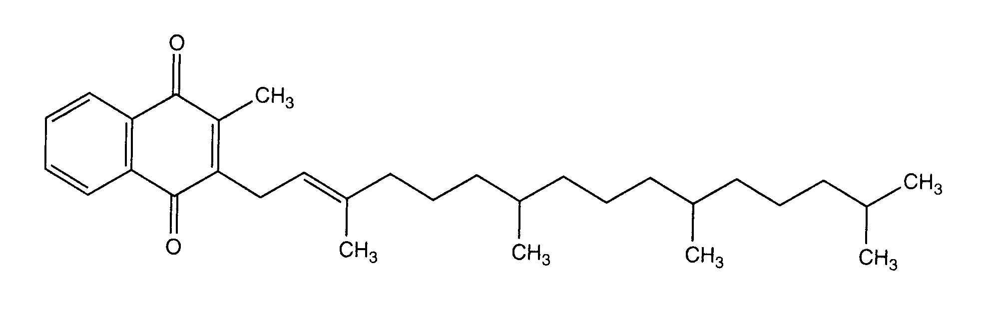
   Chemical structure  

Tradename   Tradename     

Trade names are indicative and excipients composition can be different depending on the country and manufacturers

Adcokion Egypt
Amidalak Mexico
Amri-K Egypt
Aquamephyton United States of America
Epikavit Egypt
Haemokion Egypt
Hyvit Brazil
Kanakion Brazil, Portugal
Kavit Brazil
Kenadion India
Kisan Malaysia
Konakion Argentina, Austria, Belgium, Chile, Colombia, Croatia, Denmark, Ecuador, Egypt, Finland, Germany, Great Britain, Greece, Hungary, Iceland, Ireland, Italy, Luxembourg, Morocco, Netherlands, New Zealand, Norway, Poland, Saudi Arabia, Spain, Sweden, Switzerland, Turkey, United Arab Emirates
Oskavit Iran
Rupek Argentina
Vikadic Iran
Vitatron Brazil
Route of administration   Route of administration :Phytomenadione     
Route
Intravenous
Intravenous infusion
Intramuscular
Subcutaneous

  Mentions Légales