Последно актуализиране :
27/11/2025
Витамин   Phytomenadione  
Инжекция/Инжекционен
Орален разтвор
Стабилност на разтвори Стабилност на смеси Фактори, повлияващи стабилността Съвместимост Път на въвеждане Библиография Pdf
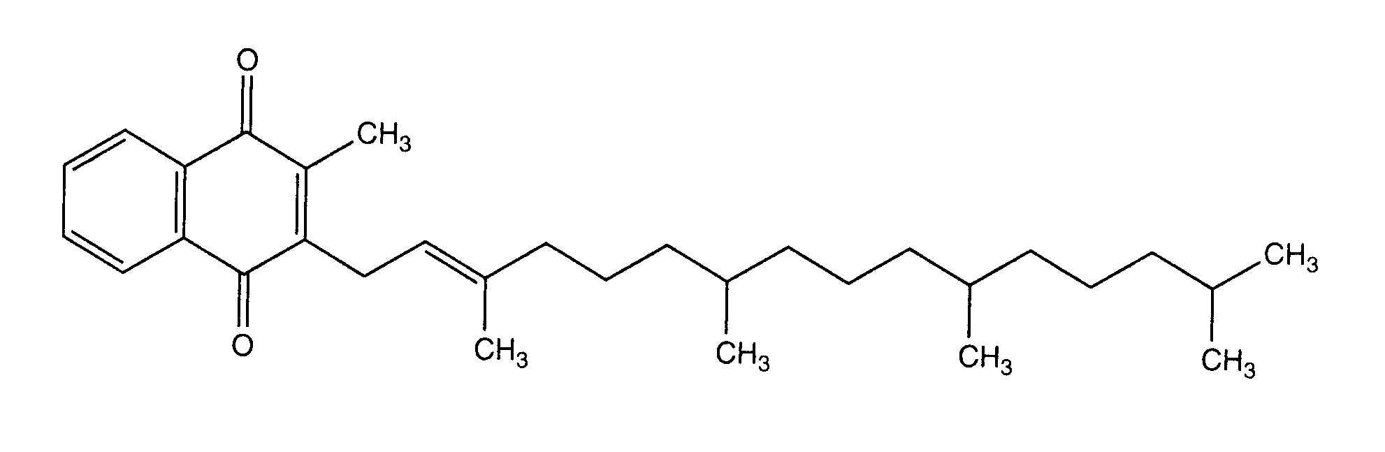
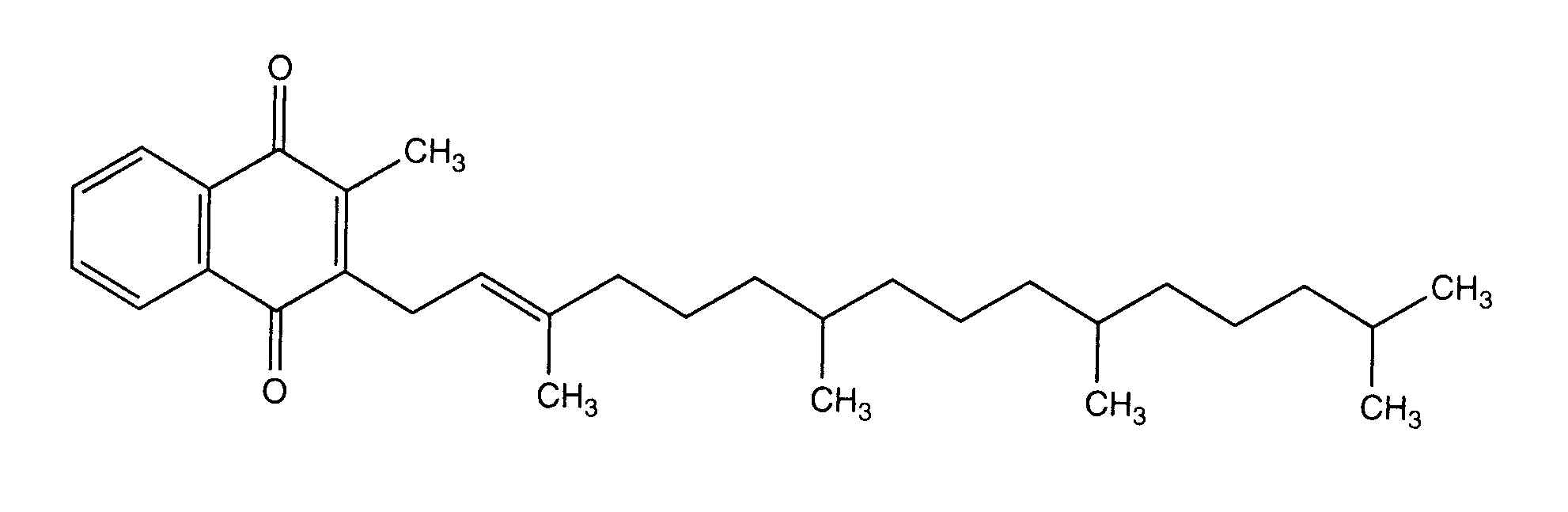
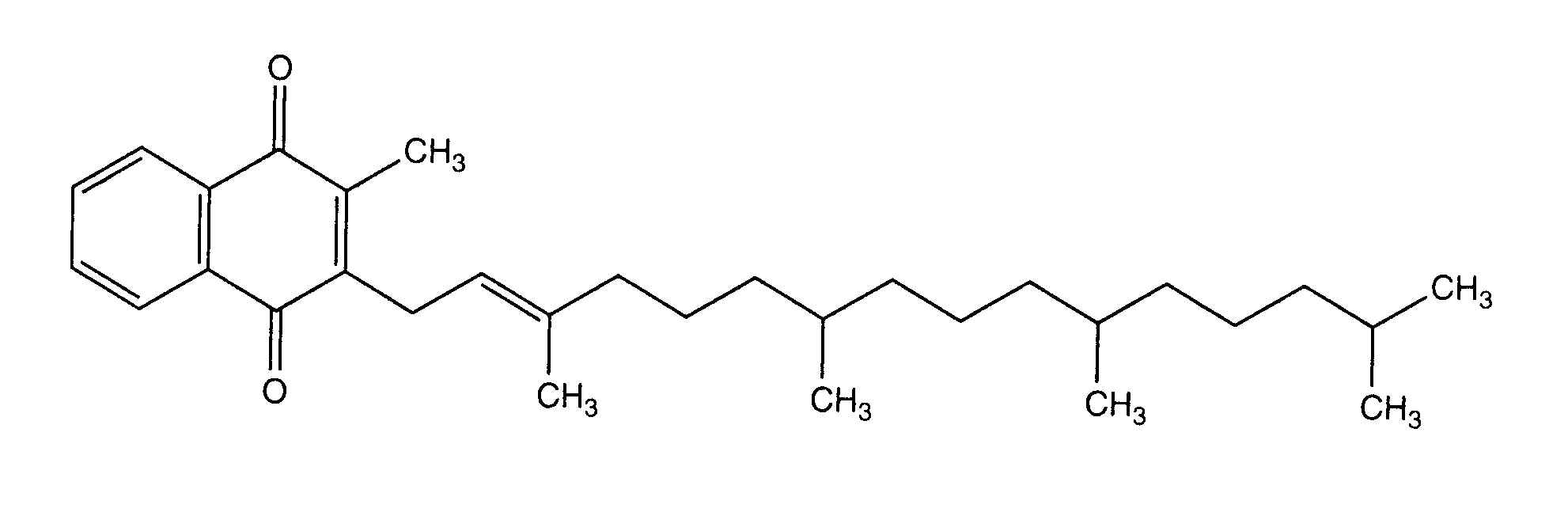
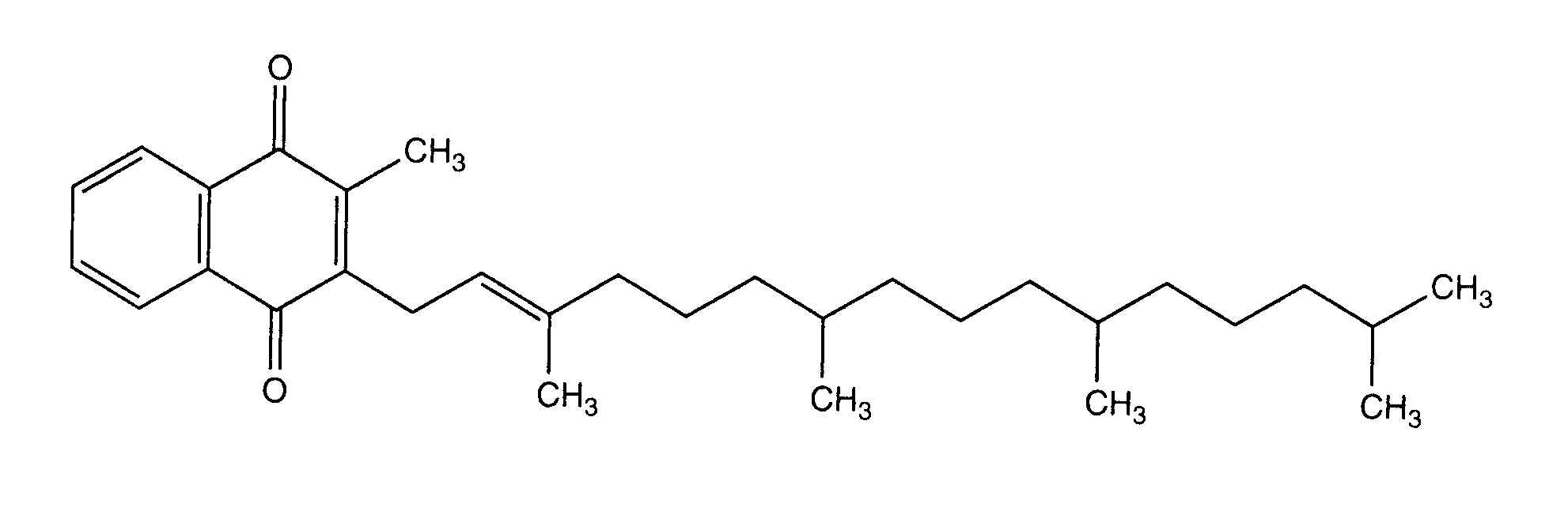
   Химична структура  

Търговско наименование   Търговско наименование     

Търговските имена са примерни и съставът на помощните вещества може да бъде различен в зависимост от държавата и лабораториите

Adcokion Египет
Amidalak Мексико
Amri-K Египет
Aquamephyton Съединени Американски щати / САЩ
Epikavit Египет
Haemokion Египет
Hyvit Бразилия
Kanakion Бразилия, Португалия
Kavit Бразилия
Kenadion Индия
Kisan Малайзия
Konakion Австрия, Аржентина, Белгия, Великобритания, Германия, Гърция, Дания, Египет, Еквадор, Ирландия, Исландия, Испания, Италия, Колумбия, Люксенбург, Мароко, нова Зеландия, Норвегия, Обединени арабски емирства, Полша, Саудитска Арабия, Турция, Унгария, Финландия, Холандия, Хърватия, Чили, Швейцария, Швеция
Oskavit Иран
Rupek Аржентина
Vikadic Иран
Vitatron Бразилия
Път на въвеждане   Път на въвеждане :Phytomenadione     
Voie
Интравенозно
Интравенозна инфузия
Интрамускулно
Подкожна

  Mentions Légales