Zadnji put ažurirano :
18/03/2026
vitamini   Phytomenadione  
injekcija
oralna otopina
Stabilizacija rješenja Stabilnost mješavine Stabilizacijski faktor Kompatibilnosti način davanja lijeka Bibliografija pdf
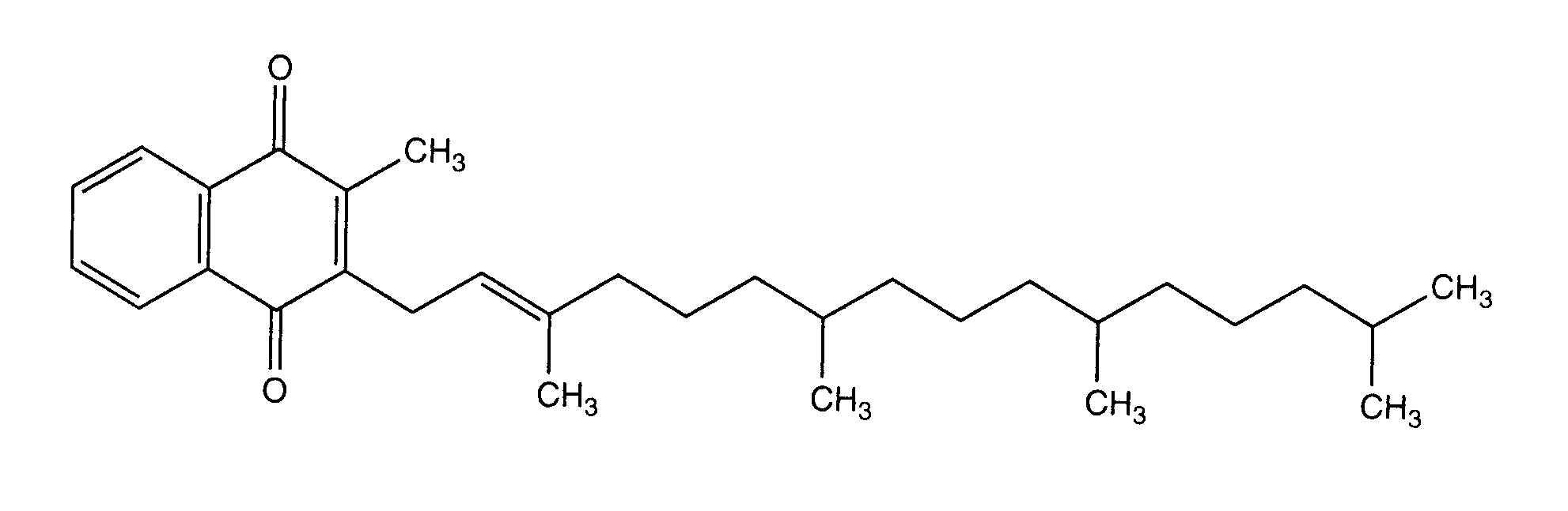
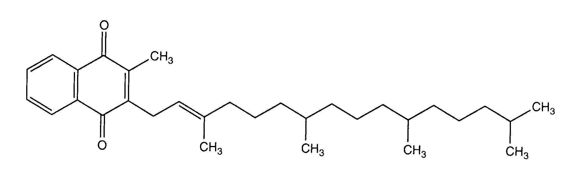
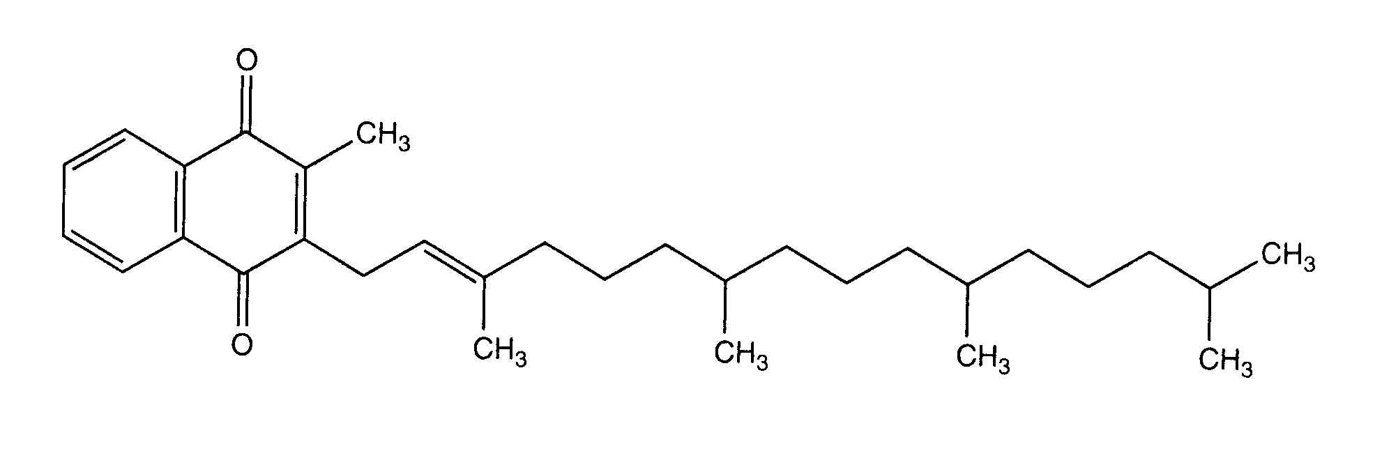
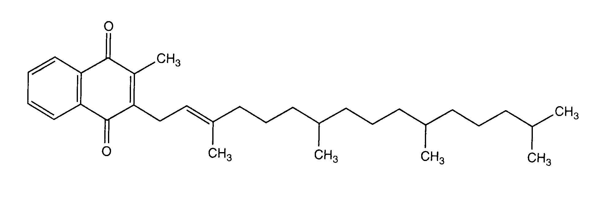
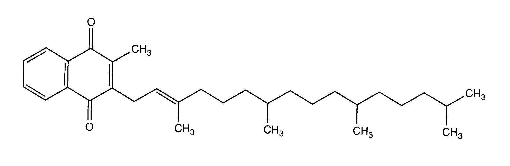
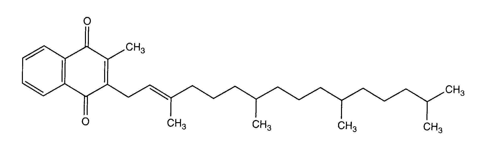
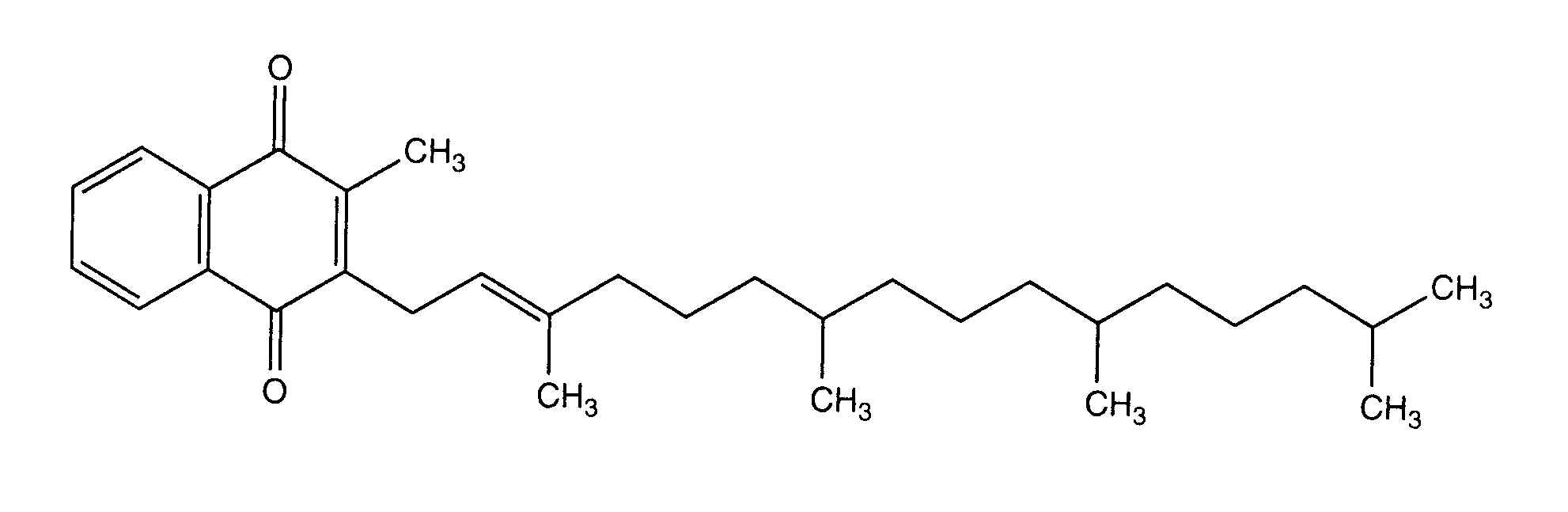
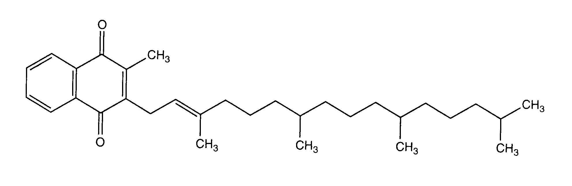
   Kemijska struktura  

Nekomercijalni   Nekomercijalni     

Zaštićeni nazivi su indikativni i sastav ekscipijensa može biti različit ovisno o državi i laboratorijima

Adcokion Egipat
Amidalak Meksiko
Amri-K Egipat
Aquamephyton S A D
Epikavit Egipat
Haemokion Egipat
Hyvit Brazil
Kanakion Brazil, Portugal
Kavit Brazil
Kenadion Indija
Kisan Malezija
Konakion Argentina, Austrija, Belgija, Čile, Danska, Egipat, Ekvador, Finska, Grčka, Hrvatska, Irska, Island, Italija, Kolumbija, Luksemburg, Madžarska, Maroko, Nizozemska, Njemačka, Norveška, novi Zeland, Poljska, Saudijska Arabija, Španjolska, Švedska, Švicarska, Turska, Ujedinjeni Arapski Emirati, Velika Britanija
Oskavit Iran
Rupek Argentina
Vikadic Iran
Vitatron Brazil
način davanja lijeka   način davanja lijeka :Phytomenadione     
Voie
intravenozno
intravenozna infuzija
intramuskularni
subkutani

  Mentions Légales