Posledná aktualizácia :
27/11/2025
vitamín   Phytomenadione  
Injekcia
Perorálny roztok
Stabilita roztokov Stabilita v zmesiach Faktory ovplyvňujúce stabilitu Kompatibility spôsob podania Odkazy na literatúru PDF
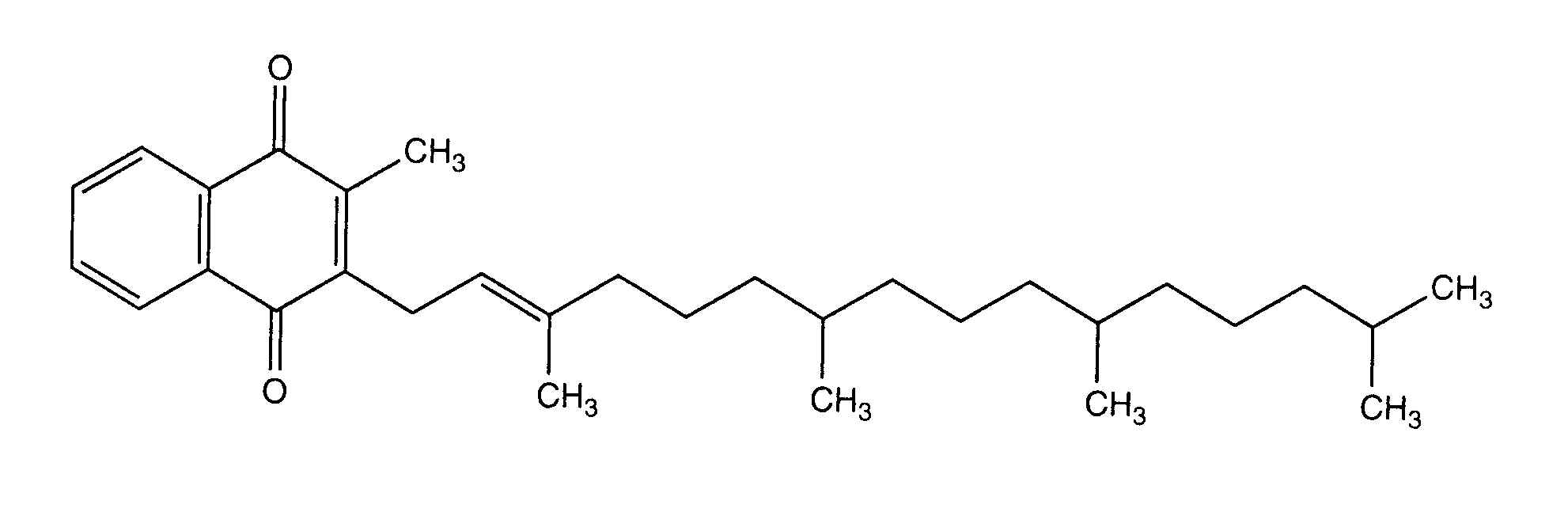
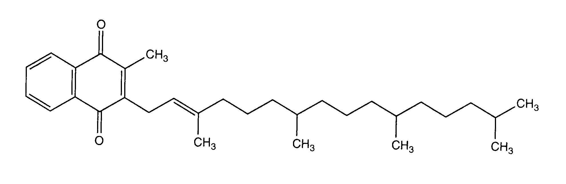
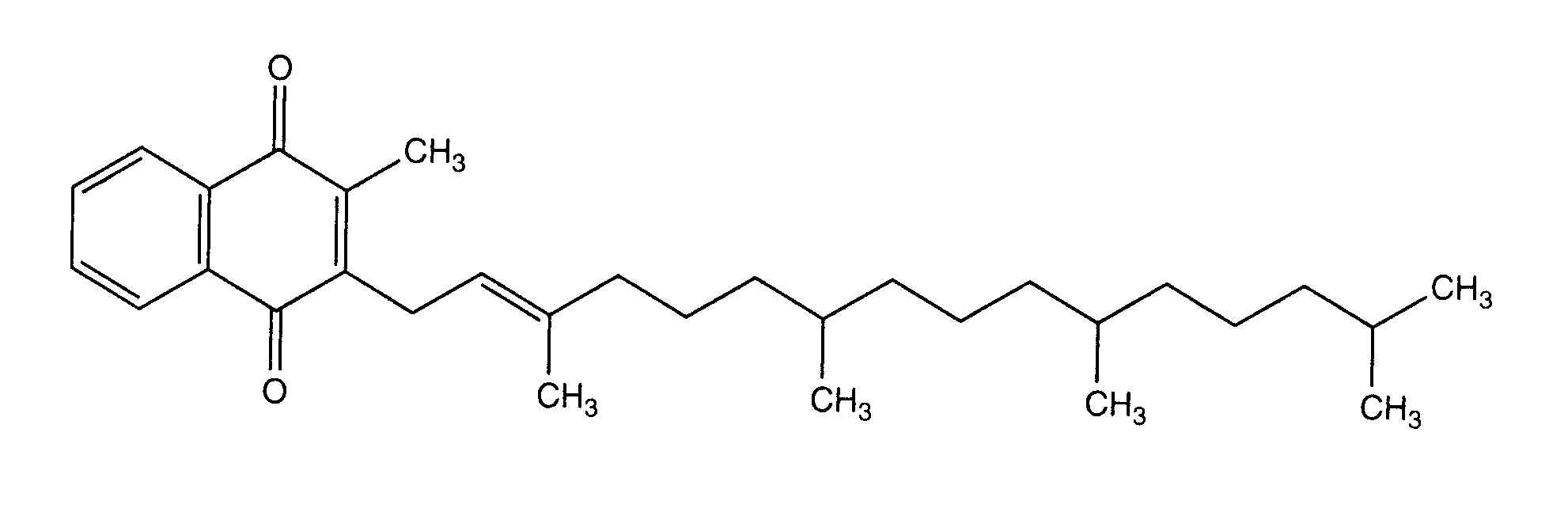
   Chemický vzorec  

Obchodný názov   Obchodný názov     

Obchodné názvy sú orientačné, a zloženie pomocných látok sa môže líšiť v závislosti od krajiny a výrobcu.

Adcokion Egypt
Amidalak Mexiko
Amri-K Egypt
Aquamephyton Spojené štáty Americké
Epikavit Egypt
Haemokion Egypt
Hyvit Brazília
Kanakion Brazília, Portugalsko
Kavit Brazília
Kenadion India
Kisan Malajzia
Konakion Argentína, Belgicko, Chorvátsko, Čile, Dánsko, Egypt, Ekvádor, Fínsko, Grécko, Holandsko, Írsko, Island, Kolumbia, Luxembursko, Maďarsko, Maroko, Nemecko, Nórsko, nový Zéland, Poľsko, Rakúsko, Saudská Arábia, Španielsko, Spojené arabské emiráty, Švajčiarsko, Švédsko, Taliansko, Turecko, Veľká Británia
Oskavit Irán
Rupek Argentína
Vikadic Irán
Vitatron Brazília
Odkazy na literatúru   Injekcia   Odkazy na literatúru : Phytomenadione  
Typ Publikácia
397 Časopis Fong PA, Ward J.
Visual compatibility of intravenous famotidine with selected drugs.
Am J Hosp Pharm 1989 ; 46: 125-126.
951 Časopis Ho PC, Wong VK.
Influence of DL methionine and sodium metasulphite on the photostability of vitamin K1.
PDA J Pharm Sci Technol 1998 ; 52: 129-133.
1200 Časopis Chaudry IA, Bruey KP, Hurlburt LE, Oden EM.
Compatibility of netilmycin sulfate injection with commonly used intravenous injections and additives.
Am J Hosp Pharm 1981 ; 38: 1737-1742.
1201 Časopis Yuhas EM, Lofton FT, Rosenberg HA, Mayron D, Baldinus JG.
Cimetidine hydrochloride compatibility III: Room temperature stability in drug admixtures.
Am J Hosp Pharm 1981 ; 38: 1919-1922.
2231 Časopis de Jongh R, Hens R, Basma V, mouton JW, Tulkens PM, Carryn S.
Continuous versus intermittent infusion of temocillin, a directed spectrum penicillin for intensive care patients with nosocomial pneumonia: stability, compatibility, population pharmacokinetic studies and breakpoint selection.
J Antimicrob Chemother 2008 ; 61, 2: 382-388.
3128 Laboratórium Mitomycine (Amétycine®) - Résumé Caractéristiques du Produit
Prostrakan 2013
3372 Časopis Hanci V, Ali Kiraz H, Ömür D, Ekin S, Uyan B, Yurtlu B.S.
Precipitation in Gallipoli: Sugammadex / Amiodarone & Sugammadex / Dobutamine & Sugammadex / Protamine.
Rev Bras Anestesiol 2013 ; 63, 1: 163-166.
3985 Poster Manai M., Soussi M.A., Lazreg O., Drira C., Ben Tekaya S. et Razgallah Khrouf M.
Compatibilité physique entre médicaments injectables et nutrition parentérale pédiatrique : Evaluation in-vitro.
Hopipharm Congress 2017 - Nancy 2017
4471 Laboratórium Amétycine 10 mg poudre pour solution injectable - Résumé des caractéristiques du produit - Oct 10, 2019
Kyowa Kirin Pharma 2019
4698 Časopis Ayari G, D'Huart E, Vigneron J, Demoré B.
Y-site compatibility of intravenous medications commonly used in intensive care units : laboratory tests on 75 mixtures involving nine main drugs.
Pharmaceutical Technology in Hospital Pharmacy 2022 ; 7(1): 20220002

  Mentions Légales