Ultimele actualizari :
27/11/2025
Vitamina   Phytomenadione  
Injectabil
Soluţie orală
Stabilitatea in solutie Stabilitatea in amestec Factorii care influenteaza stabilitatea Compatibilitate Microunde Bibliografie pdf
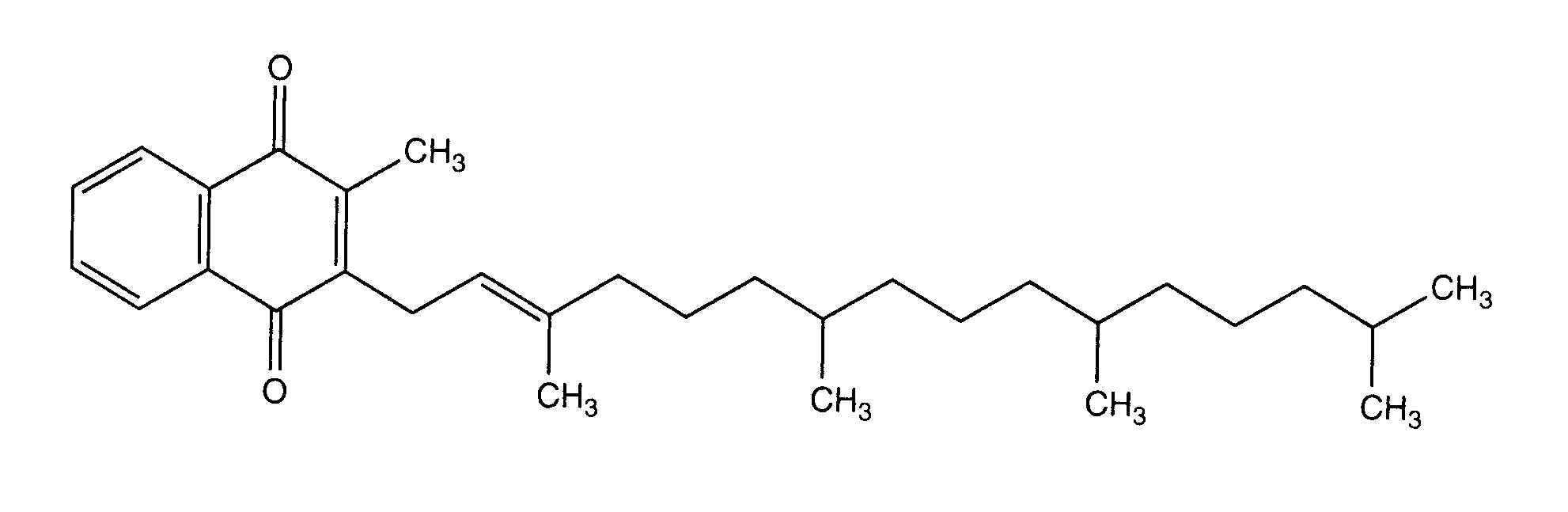
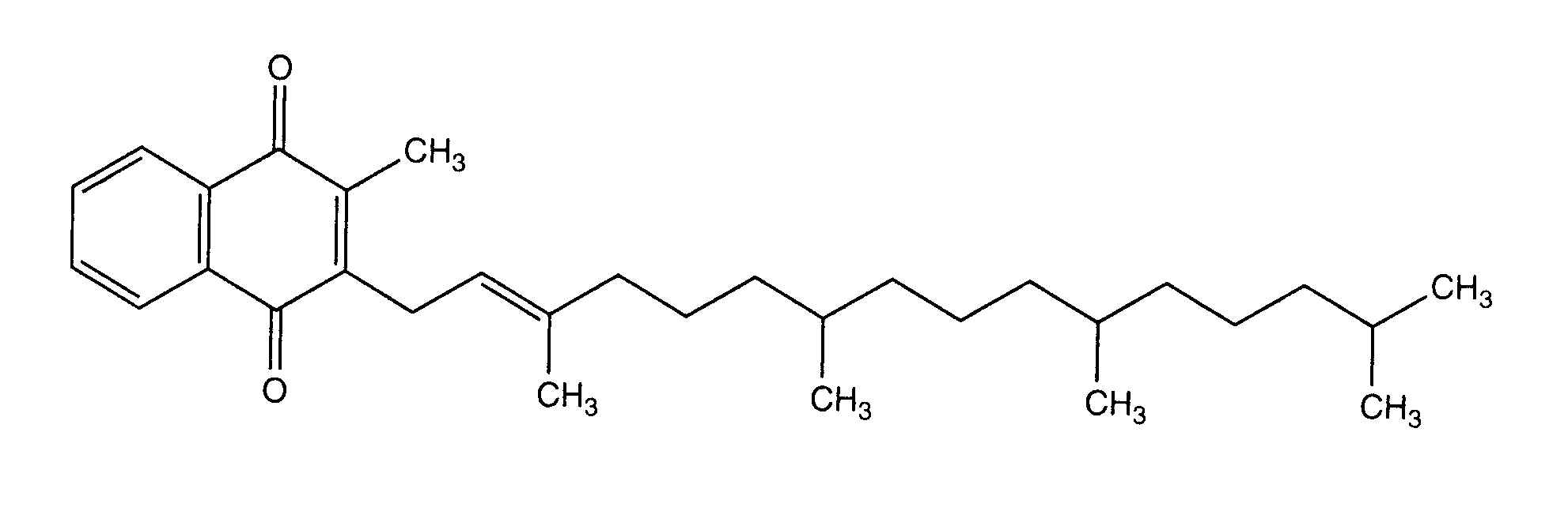
   Formula chimica  

Denumirea comerciala   Denumirea comerciala     

Trade names are indicative and excipients composition can be different depending on the country and manufacturers

Adcokion Egipt
Amidalak Mexic
Amri-K Egipt
Aquamephyton SUA
Epikavit Egipt
Haemokion Egipt
Hyvit Brazilia
Kanakion Brazilia, Portugalia
Kavit Brazilia
Kenadion India
Kisan Malaezia
Konakion Arabia Saudita, Argentina, Austria, Belgia, Chilli, Columbia, Croatia, Danemarca, Ecuador, Egipt, Elvetia, Emiratele Arabe Unite, Finlanda, Germania, Grecia, Irlanda, Islanda, Italia, Luxemburg, Marea Britanie, Maroc, Norvegia, noua Zeelandă, Olanda, Polonia, Spania, Suedia, Turcia, Ungaria
Oskavit Iran
Rupek Argentina
Vikadic Iran
Vitatron Brazilia
Bibliografie   Injectabil   Bibliografie : Phytomenadione  
tip publicare
397 ziar Fong PA, Ward J.
Visual compatibility of intravenous famotidine with selected drugs.
Am J Hosp Pharm 1989 ; 46: 125-126.
951 ziar Ho PC, Wong VK.
Influence of DL methionine and sodium metasulphite on the photostability of vitamin K1.
PDA J Pharm Sci Technol 1998 ; 52: 129-133.
1200 ziar Chaudry IA, Bruey KP, Hurlburt LE, Oden EM.
Compatibility of netilmycin sulfate injection with commonly used intravenous injections and additives.
Am J Hosp Pharm 1981 ; 38: 1737-1742.
1201 ziar Yuhas EM, Lofton FT, Rosenberg HA, Mayron D, Baldinus JG.
Cimetidine hydrochloride compatibility III: Room temperature stability in drug admixtures.
Am J Hosp Pharm 1981 ; 38: 1919-1922.
2231 ziar de Jongh R, Hens R, Basma V, mouton JW, Tulkens PM, Carryn S.
Continuous versus intermittent infusion of temocillin, a directed spectrum penicillin for intensive care patients with nosocomial pneumonia: stability, compatibility, population pharmacokinetic studies and breakpoint selection.
J Antimicrob Chemother 2008 ; 61, 2: 382-388.
3128 Laborator Mitomycine (Amétycine®) - Résumé Caractéristiques du Produit
Prostrakan 2013
3372 ziar Hanci V, Ali Kiraz H, Ömür D, Ekin S, Uyan B, Yurtlu B.S.
Precipitation in Gallipoli: Sugammadex / Amiodarone & Sugammadex / Dobutamine & Sugammadex / Protamine.
Rev Bras Anestesiol 2013 ; 63, 1: 163-166.
3985 poster Manai M., Soussi M.A., Lazreg O., Drira C., Ben Tekaya S. et Razgallah Khrouf M.
Compatibilité physique entre médicaments injectables et nutrition parentérale pédiatrique : Evaluation in-vitro.
Hopipharm Congress 2017 - Nancy 2017
4471 Laborator Amétycine 10 mg poudre pour solution injectable - Résumé des caractéristiques du produit - Oct 10, 2019
Kyowa Kirin Pharma 2019
4698 ziar Ayari G, D'Huart E, Vigneron J, Demoré B.
Y-site compatibility of intravenous medications commonly used in intensive care units : laboratory tests on 75 mixtures involving nine main drugs.
Pharmaceutical Technology in Hospital Pharmacy 2022 ; 7(1): 20220002

  Mentions Légales