آخر تحديث :
18/03/2026
فيتامين   Phytomenadione  
حقن
عن طريق الفم
الاستقرار في حلول استقرار مخاليط العوامل التي تؤثر على الاستقرار التوافق طريقة التعاطي مراجع pdf
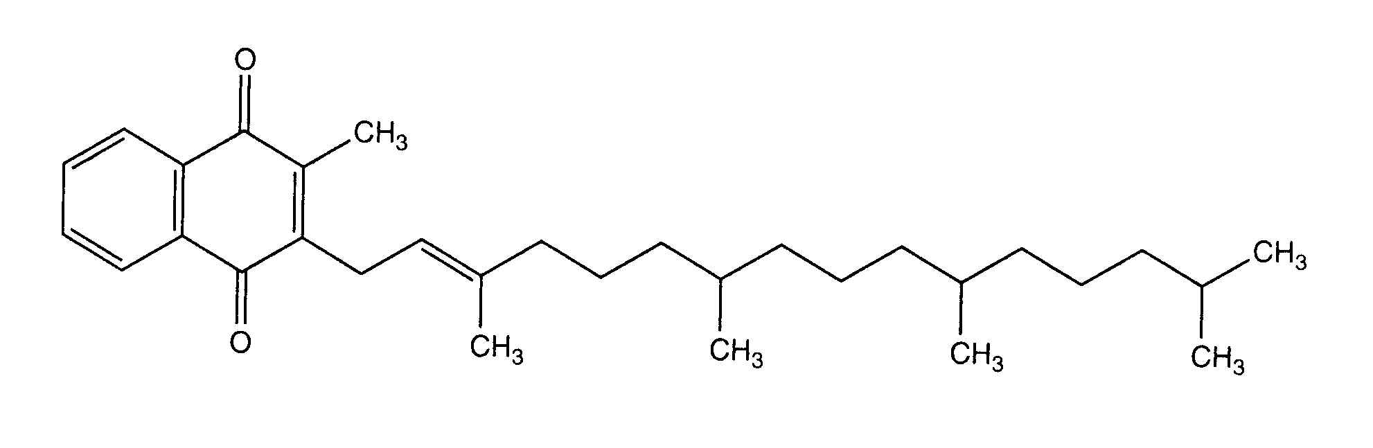
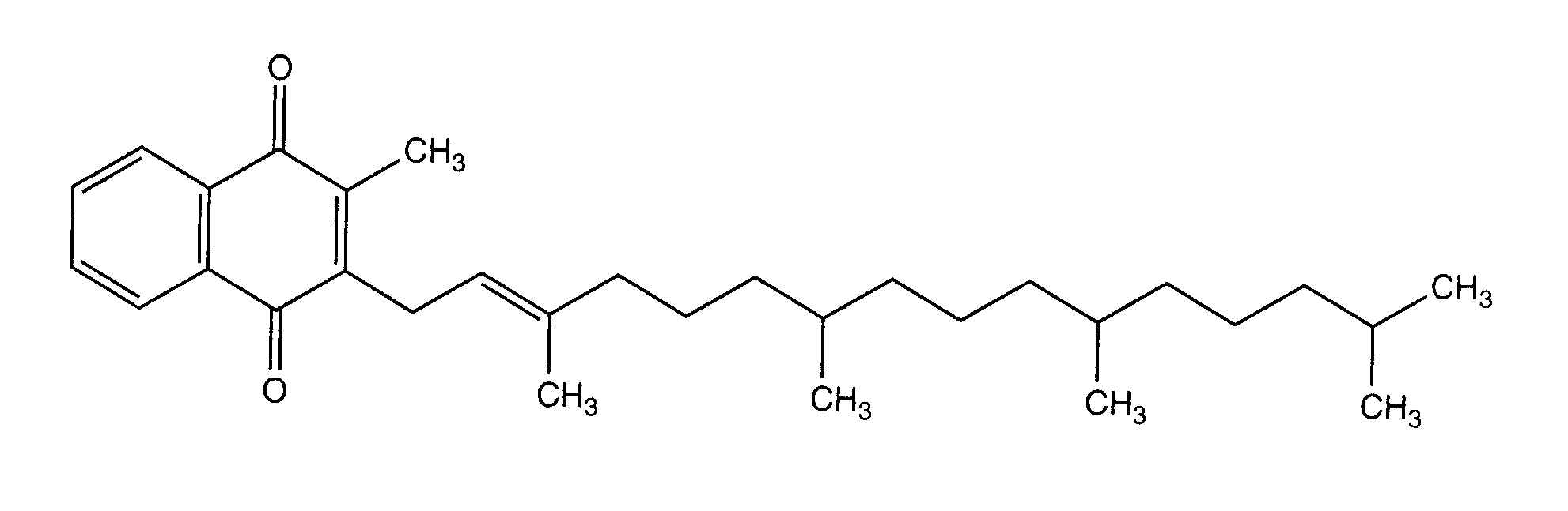
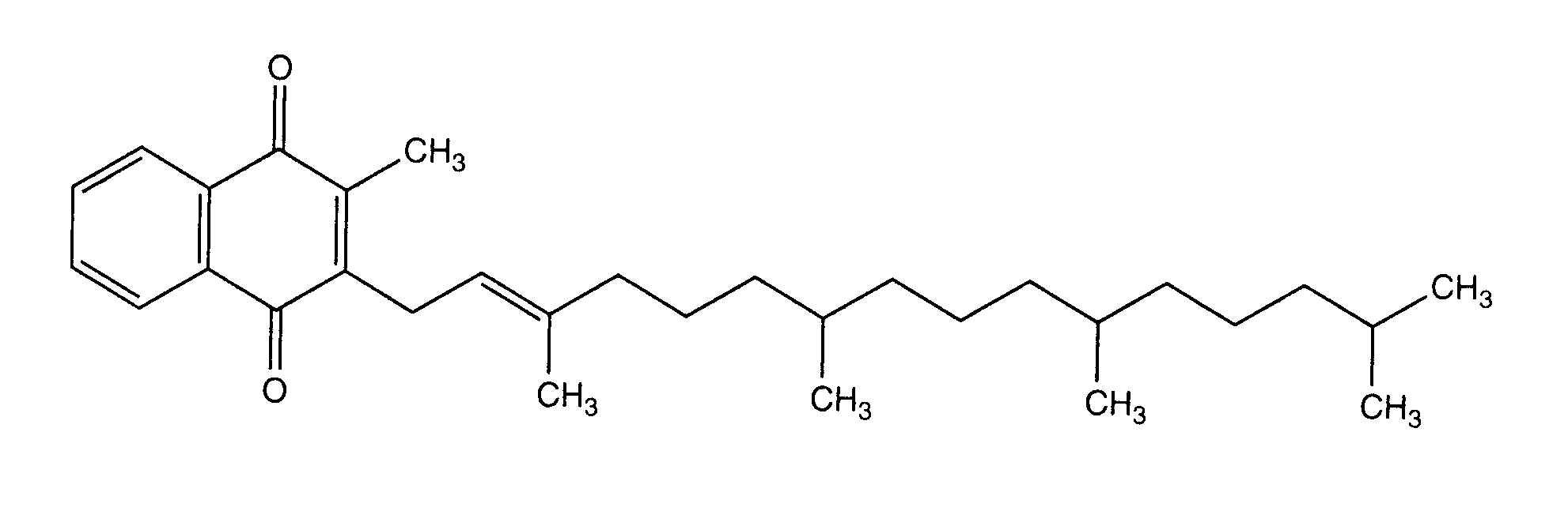
   التركيب الكيميائي  

حجز الاسم التجاري   حجز الاسم التجاري     

تحذير الأسماء التجاريه المختلفه قد تحتوي علي محتوي إضافات مختلفة حسب الدوله و المعمل

Adcokion مصر
Amidalak المكسيك
Amri-K مصر
Aquamephyton الولايات المتحدة
Epikavit مصر
Haemokion مصر
Hyvit البرازيل
Kanakion البرازيل, البرتغال
Kavit البرازيل
Kenadion الهند
Kisan ماليزيا
Konakion ألمانيا, أيسلندا, إسبانيا, إيطاليا, الأرجنتين, الإكوادور, الإمارات العربية المتحدة, الدنمارك, السويد, العربية السعودية, المغرب, النرويج, النمسا, ايرلندا, بريطانيا العظمي, بلجيكا, بولندا, تركيا, تشيلي, زيلاندا الجديدة, سويسرا, فنلندا, كرواتيا, كولومبيا, لوكسمبورغ, مصر, هنغاريا, هولندا, يونان
Oskavit إيران
Rupek الأرجنتين
Vikadic إيران
Vitatron البرازيل
مراجع   حقن   مراجع : Phytomenadione  
نوع منشور
397 مجلة Fong PA, Ward J.
Visual compatibility of intravenous famotidine with selected drugs.
Am J Hosp Pharm 1989 ; 46: 125-126.
951 مجلة Ho PC, Wong VK.
Influence of DL methionine and sodium metasulphite on the photostability of vitamin K1.
PDA J Pharm Sci Technol 1998 ; 52: 129-133.
1200 مجلة Chaudry IA, Bruey KP, Hurlburt LE, Oden EM.
Compatibility of netilmycin sulfate injection with commonly used intravenous injections and additives.
Am J Hosp Pharm 1981 ; 38: 1737-1742.
1201 مجلة Yuhas EM, Lofton FT, Rosenberg HA, Mayron D, Baldinus JG.
Cimetidine hydrochloride compatibility III: Room temperature stability in drug admixtures.
Am J Hosp Pharm 1981 ; 38: 1919-1922.
2231 مجلة de Jongh R, Hens R, Basma V, mouton JW, Tulkens PM, Carryn S.
Continuous versus intermittent infusion of temocillin, a directed spectrum penicillin for intensive care patients with nosocomial pneumonia: stability, compatibility, population pharmacokinetic studies and breakpoint selection.
J Antimicrob Chemother 2008 ; 61, 2: 382-388.
3128 مختبر Mitomycine (Amétycine®) - Résumé Caractéristiques du Produit
Prostrakan 2013
3372 مجلة Hanci V, Ali Kiraz H, Ömür D, Ekin S, Uyan B, Yurtlu B.S.
Precipitation in Gallipoli: Sugammadex / Amiodarone & Sugammadex / Dobutamine & Sugammadex / Protamine.
Rev Bras Anestesiol 2013 ; 63, 1: 163-166.
3985 الملصق Manai M., Soussi M.A., Lazreg O., Drira C., Ben Tekaya S. et Razgallah Khrouf M.
Compatibilité physique entre médicaments injectables et nutrition parentérale pédiatrique : Evaluation in-vitro.
Hopipharm Congress 2017 - Nancy 2017
4471 مختبر Amétycine 10 mg poudre pour solution injectable - Résumé des caractéristiques du produit - Oct 10, 2019
Kyowa Kirin Pharma 2019
4698 مجلة Ayari G, D'Huart E, Vigneron J, Demoré B.
Y-site compatibility of intravenous medications commonly used in intensive care units : laboratory tests on 75 mixtures involving nine main drugs.
Pharmaceutical Technology in Hospital Pharmacy 2022 ; 7(1): 20220002

  Mentions Légales