fermer
Última actualización :
17/12/2025
Infostab
Lista de la molécula
Listas recapitulativas
Búsqueda de compatibilidades
Tabla de compatibilidad en Y
Bibliografía
Los equipos de investigación
valistab
póster
Vínculos
patrocinadores
Autores
Manual de instruciones
Boletín de noticias
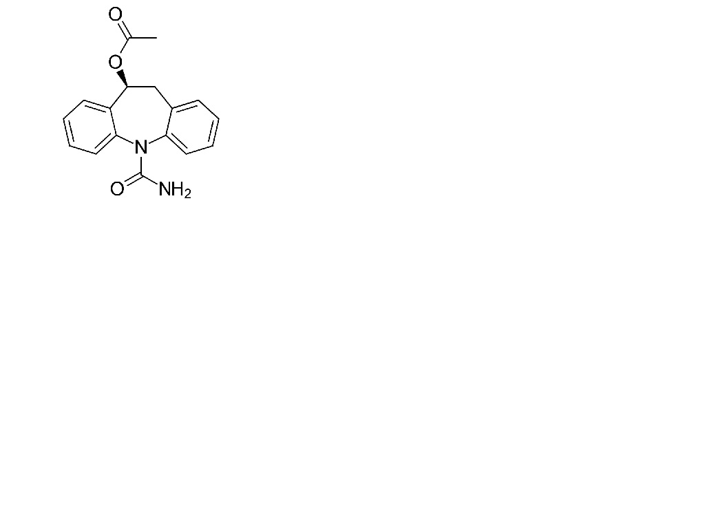
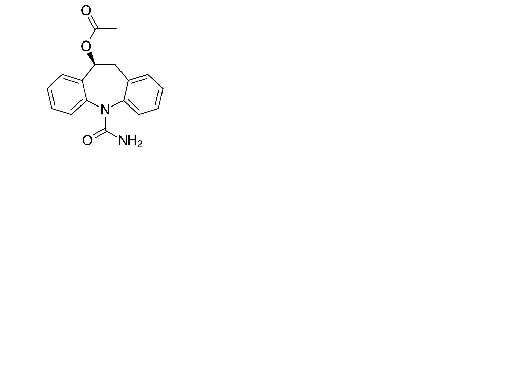
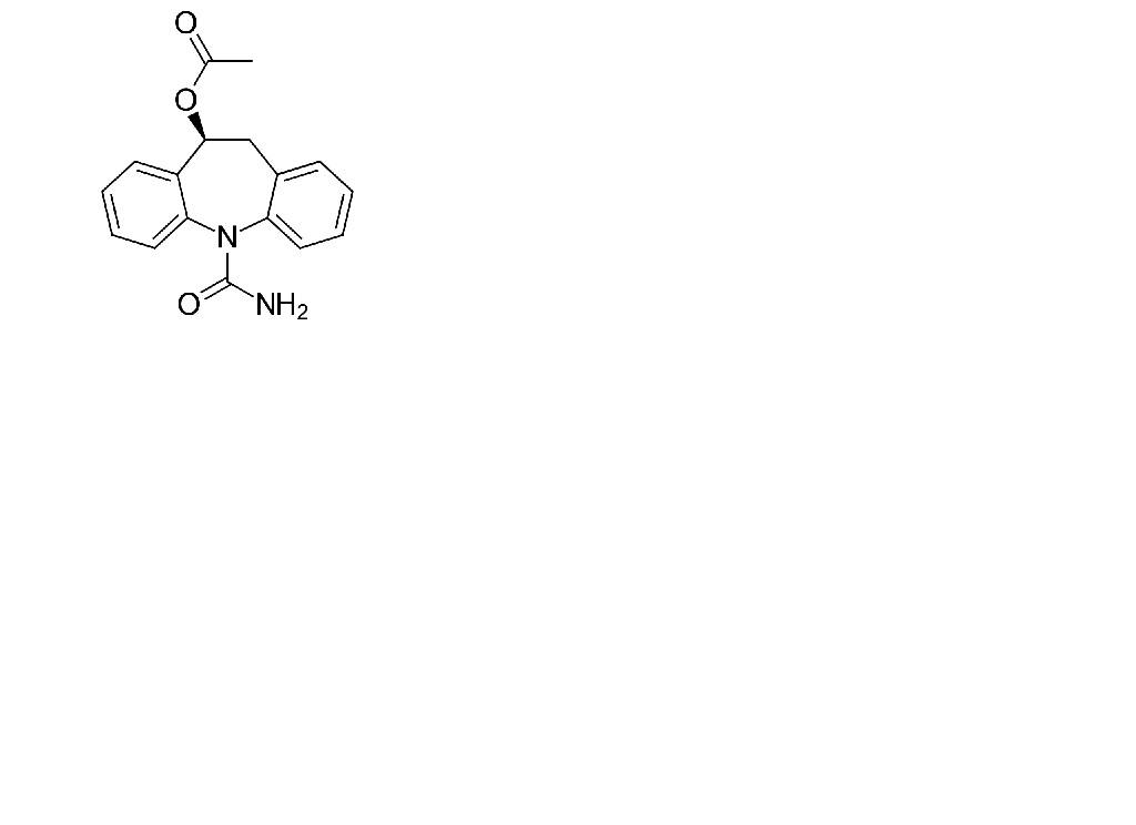
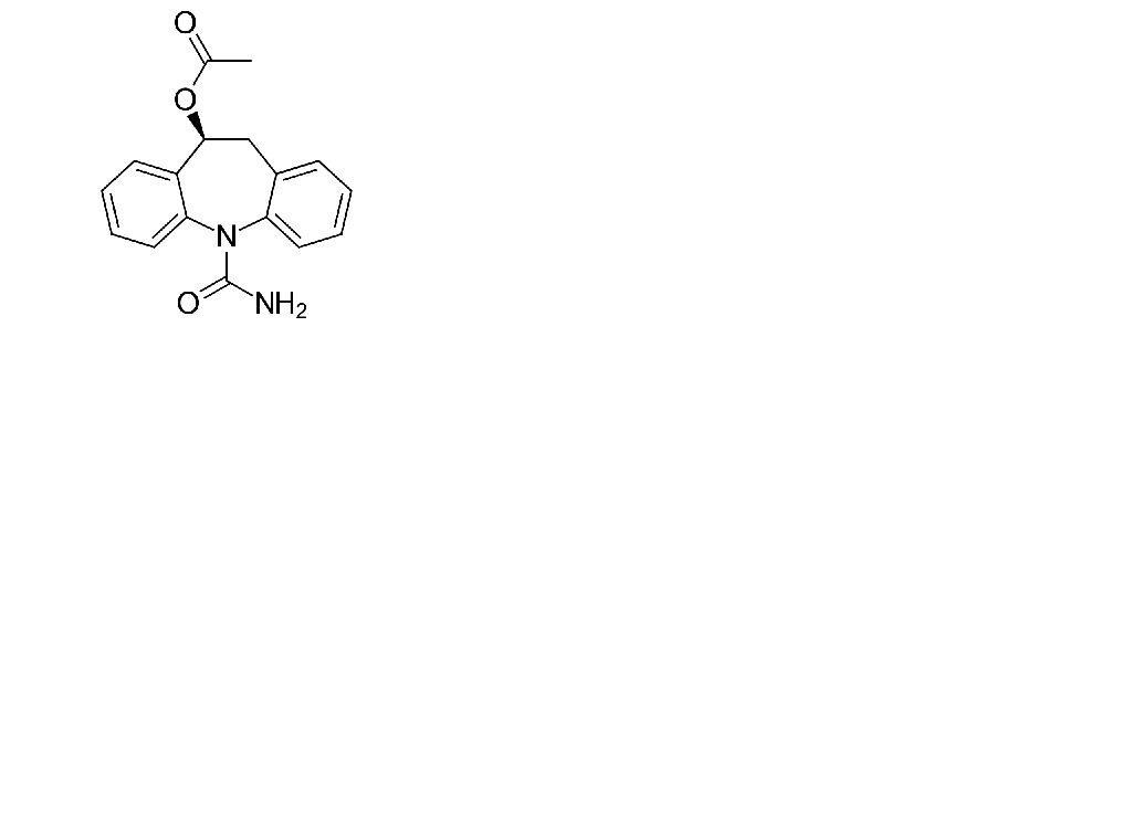
Eslicarbazepine acetate
Estructura química
Estabilidad en mezcla : Eslicarbazepine acetate
Ausencia de datos
Mentions Légales