Seneste opdatering :
17/12/2025
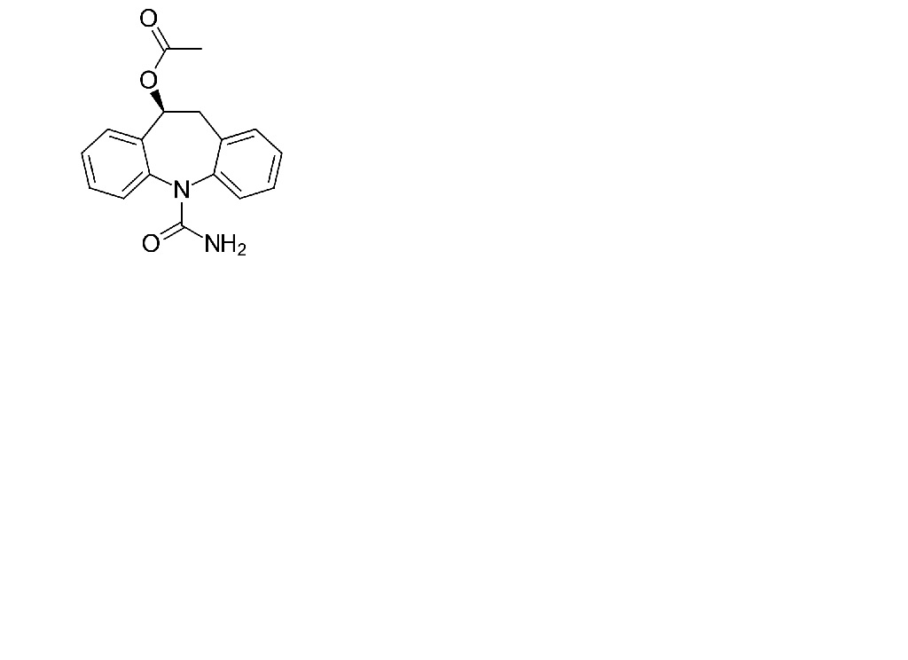
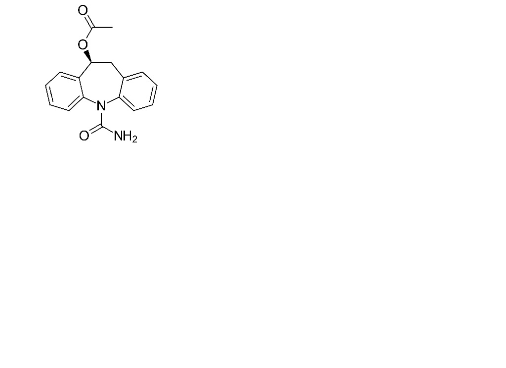
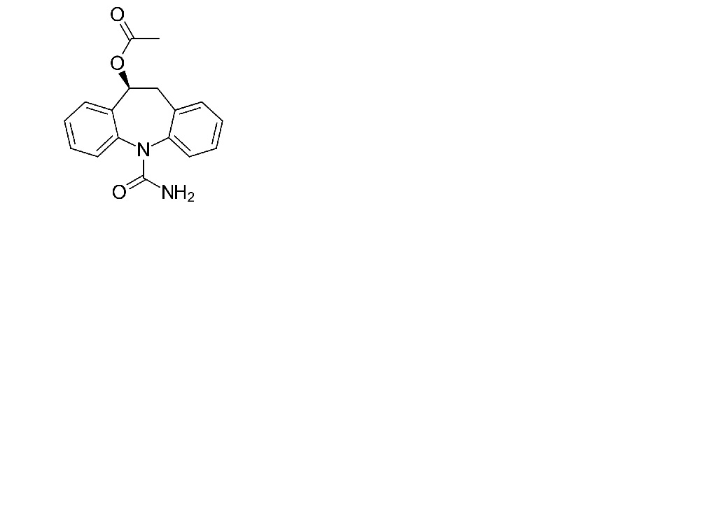
Antiepileptisk   Eslicarbazepine acetate  
Oral opløsning
Stabilitet af farmaceutiske tilberedninger Stabilitet i blandinger Faktorer der påvirker stabiliteten Kompatibilitet Bibliografi pdf
   Kemisk struktur  

Oral opløsning
Stabilitet i blandinger   Oral opløsning   Stabilitet i blandinger : Eslicarbazepine acetate     
Ingen data

  Mentions Légales