Zadnji put ažurirano :
17/12/2025
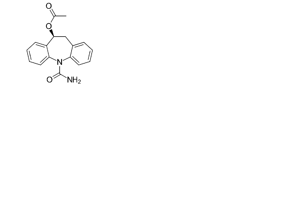
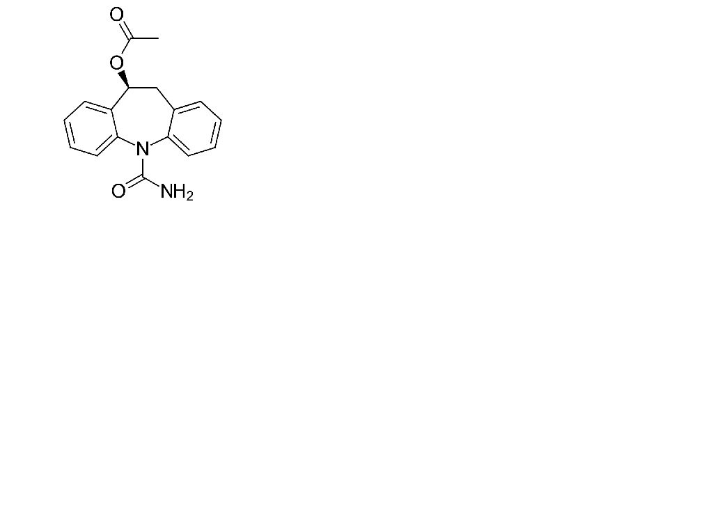
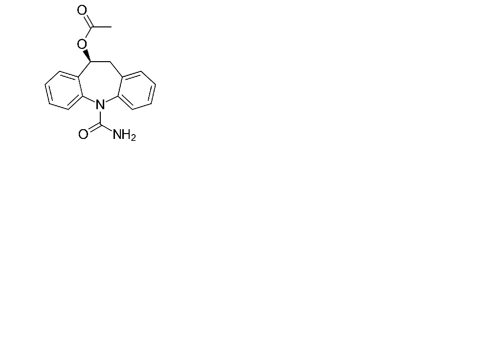
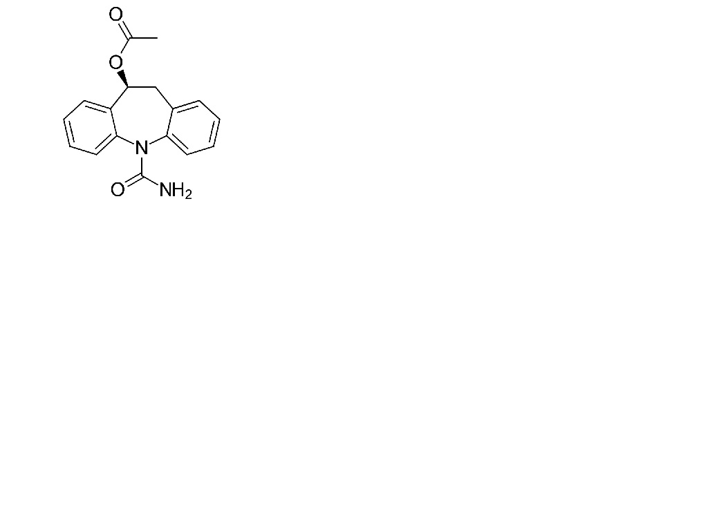
antiepileptik   Eslicarbazepine acetate  
oralna otopina
Stabilnost farmaceutskih pripravaka Stabilnost mješavine Stabilizacijski faktor Kompatibilnosti Bibliografija pdf
   Kemijska struktura  

oralna otopina
Stabilnost mješavine   oralna otopina     Stabilnost mješavine : Eslicarbazepine acetate     
bez podataka

  Mentions Légales