Τελευταία ενημέρωση :
17/12/2025
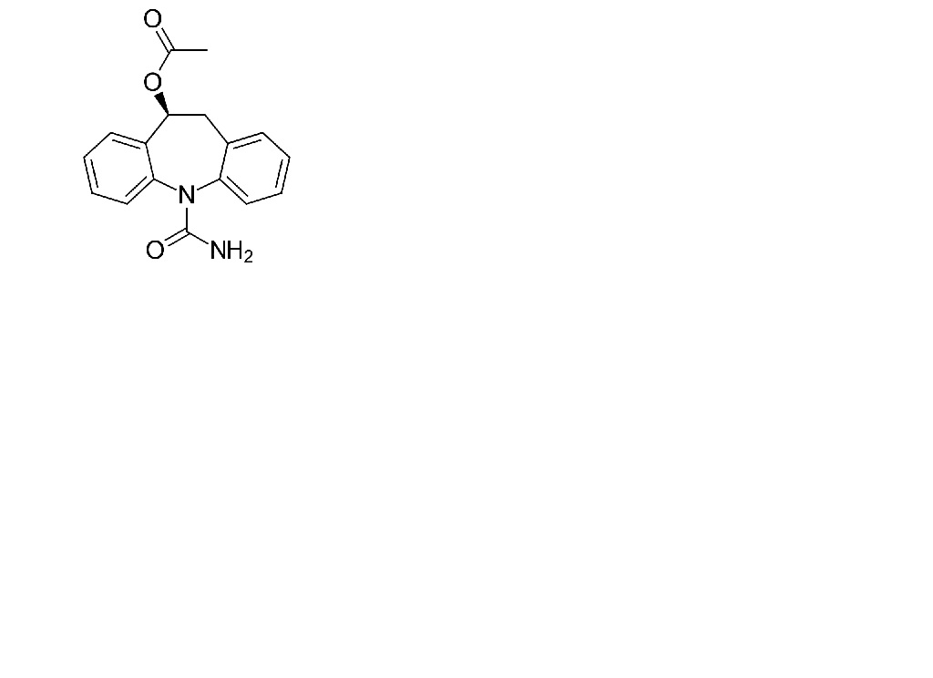
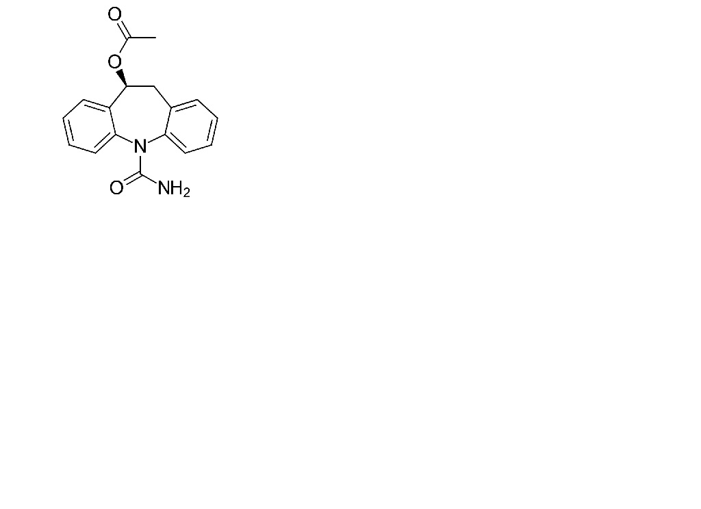
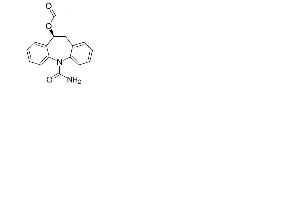
Αντιεπιληπτικό   Eslicarbazepine acetate  
Πόσιμο διάλυμα
Σταθερότητα και συμβατότητα των φαρμάκων Σταθερότητα σε μίγματα Παράγοντας που επηρεάζει τη σταθερότητα Συμβατότητες Βιβλιογραφία pdf
   χημική δομή  

Πόσιμο διάλυμα
Σταθερότητα σε μίγματα   Πόσιμο διάλυμα   Σταθερότητα σε μίγματα : Eslicarbazepine acetate     
Δεν υπάρχουν πληροφορίες

  Mentions Légales