Ostatnia aktualizacja :
17/12/2025
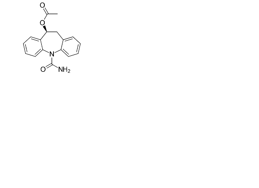
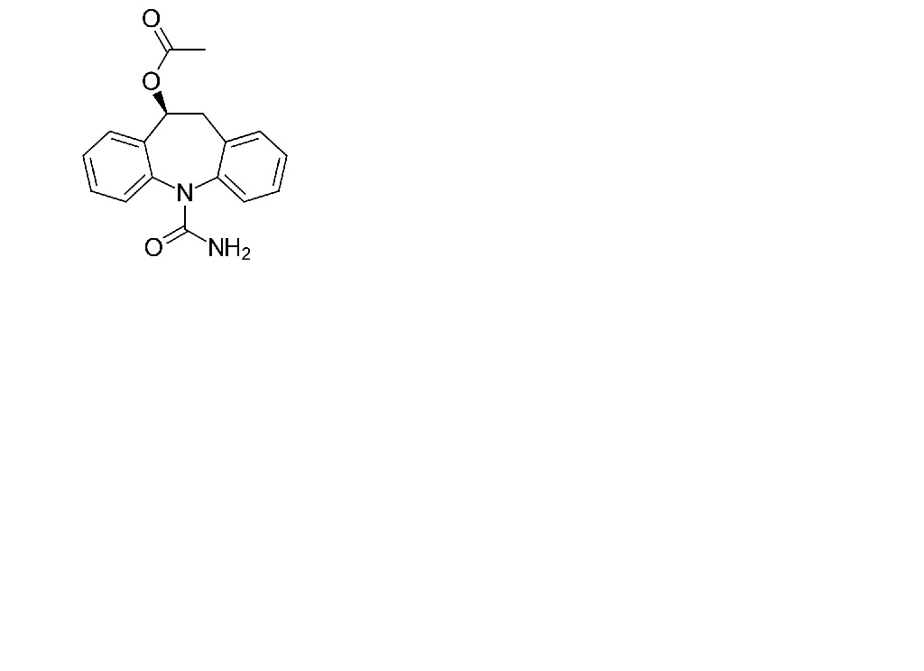
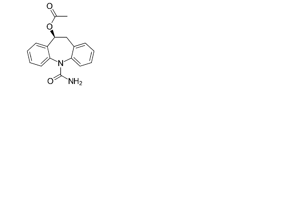
środek przeciwpadaczkowy   Eslicarbazepine acetate  
Roztwór doustny
Stabilność preparatów farmaceutycznych Trwałość w mieszaninie Czynnik wpływający na trwałość Zgodność Bibliografia pdf
   Struktura chemiczna  

Roztwór doustny
Trwałość w mieszaninie   Roztwór doustny   Trwałość w mieszaninie : Eslicarbazepine acetate     
Brak danych

  Mentions Légales