zadnja posodobitev :
17/12/2025
Antiepileptik   Eslicarbazepine acetate  
Peroralna raztopina
Stabilnost farmacevtskih preparatov Stabilnost mešanice Faktorji, ki vplivajo na stabilnost Kompatibilnost Viri pdf
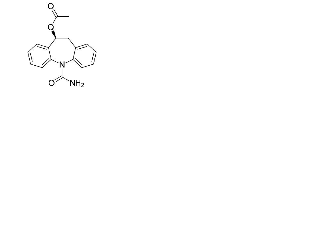
   Kemična formula  

Peroralna raztopina
Stabilnost mešanice   Peroralna raztopina   Stabilnost mešanice : Eslicarbazepine acetate     
ni podatka

  Mentions Légales