Cập nhật lần cuối :
27/11/2025
Thuốc chống động kinh   Topiramate  
Dung dịch uống
Tính ổn định của các chế phẩm Độ ổn định khi trộn lẫn Những yếu tố ảnh hưởng đến độ ổn định Khả năng tương thích Tài liệu tham khảo Pdf
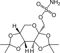
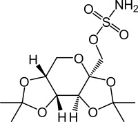
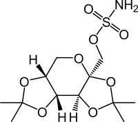
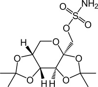
   Cấu trúc hóa học  

Dung dịch uống
Tính ổn định của các chế phẩm   Dung dịch uống   Tính ổn định của các chế phẩm : Topiramate     
Bao bì Nguyên bản Tá dược Nhiệt độ Bảo quản Thời gian ổn định Mục lục
Lọ nhựa Bột 750 mg
® = ?
SyrSpend SF PH4® >> 150 mL
2-8°C Tránh ánh sáng
90 Ngày
3999

Lọ nhựa Bột 750 mg
® = ?
SyrSpend SF PH4® >> 150 mL
20-25°C Tránh ánh sáng
90 Ngày
3999


  Mentions Légales