Zadnji put ažurirano :
05/12/2025
Infostab
Liste
Liste sazetaka
Potražite kompatibilnosti
Tablica kompatibilnosti Y-mjesta
Bibliografija
istraživačkih timova
valistab
Plakat
Linkovi
sponzori
Autor
Priručnik za korisnike
Bilten
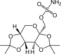
Topiramate
Kemijska struktura
Stabilnost farmaceutskih pripravaka : Topiramate
750 mg
® = ?
SyrSpend SF PH4®
>> 150 mL
2-8°C
90
3999
750 mg
® = ?
SyrSpend SF PH4®
>> 150 mL
20-25°C
90
3999
Mentions Légales