Ultimo aggiornamento :
05/12/2025
Antiepilettico   Topiramate  
Soluzione orale
Stabilità dei preparati farmaceutici Stabilità in miscela Fattori che influenzano la stabilità Compatibilità Bibliografia pdf
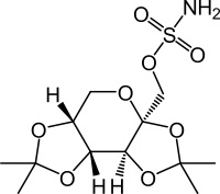
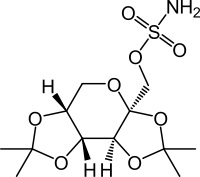
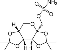
   Struttura chimica  

Soluzione orale
Stabilità dei preparati farmaceutici   Soluzione orale   Stabilità dei preparati farmaceutici : Topiramate     
contenitore Origine eccipiente Temperatura Conservazione Durata della stabilità Bibliografia
bottiglia di plastica polvere 750 mg
® = ?
SyrSpend SF PH4® >> 150 mL
2-8°C Al riparo dalla luce
90 Giorno
3999

bottiglia di plastica polvere 750 mg
® = ?
SyrSpend SF PH4® >> 150 mL
20-25°C Al riparo dalla luce
90 Giorno
3999


  Mentions Légales