Ostatnia aktualizacja :
05/12/2025
środek przeciwpadaczkowy   Topiramate  
Roztwór doustny
Stabilność preparatów farmaceutycznych Trwałość w mieszaninie Czynnik wpływający na trwałość Zgodność Bibliografia pdf
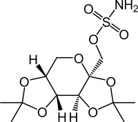
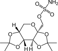
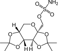
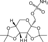
   Struktura chemiczna  

Roztwór doustny
Stabilność preparatów farmaceutycznych   Roztwór doustny   Stabilność preparatów farmaceutycznych : Topiramate     
Pojemnik Origine Substancja pomocniczna Temperatura Przechowywanie Czas trwania stabilności Bibliografia
Butelka plastikowa Proszek 750 mg
® = ?
SyrSpend SF PH4® >> 150 mL
2-8°C Chronić od światła
90 Dzień
3999

Butelka plastikowa Proszek 750 mg
® = ?
SyrSpend SF PH4® >> 150 mL
20-25°C Chronić od światła
90 Dzień
3999


  Mentions Légales