Utolsó frissítés :
05/12/2025
Antiepileptikum   Topiramate  
belsőleges oldat
Stabilitása gyógyszerészeti készítmények A keverékek stabilitása Stabilitást befolyásoló tényezők Kompatibilitás Irodalom pdf
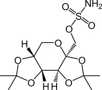
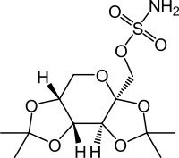
   Kémiai szerkezet   

belsőleges oldat
Stabilitása gyógyszerészeti készítmények   belsőleges oldat   Stabilitása gyógyszerészeti készítmények : Topiramate     
Csomagolás Origine segédanyag Hőmérséklet Tárolás A stabilitás időtartama Irodalom
műanyag flakon por 750 mg
® = ?
SyrSpend SF PH4® >> 150 mL
2-8°C Fénytől védve tartandó
90 Nap
3999

műanyag flakon por 750 mg
® = ?
SyrSpend SF PH4® >> 150 mL
20-25°C Fénytől védve tartandó
90 Nap
3999


  Mentions Légales