Poslední aktualizace :
05/12/2025
Antiepileptikum   Topiramate  
Perorální roztok
Stabilita farmaceutických přípravků Stabilita směsí Faktory ovlivňující stabilitu Kompatibilita Odkazy pdf
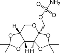
   Chemický vzorec  

Perorální roztok
Stabilita farmaceutických přípravků   Perorální roztok   Stabilita farmaceutických přípravků : Topiramate     
Obal Origine Pomocné látky Teplota Uchovávání Trvání stability Odkazy
plastová láhev prášek 750 mg
® = ?
SyrSpend SF PH4® >> 150 mL
2-8°C Chráněno před světlem
90 Den
3999

plastová láhev prášek 750 mg
® = ?
SyrSpend SF PH4® >> 150 mL
20-25°C Chráněno před světlem
90 Den
3999


  Mentions Légales