zadnja posodobitev :
23/03/2026
Antiepileptik   Topiramate  
Peroralna raztopina
Stabilnost farmacevtskih preparatov Stabilnost mešanice Faktorji, ki vplivajo na stabilnost Kompatibilnost Viri pdf
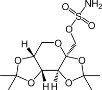
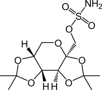
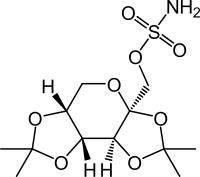
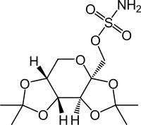
   Kemična formula  

Peroralna raztopina
Stabilnost farmacevtskih preparatov   Peroralna raztopina   Stabilnost farmacevtskih preparatov : Topiramate     
Vsebnik Origine Ekscipient Temperatura Shranjevanje Trajanje stabilnosti Viri
Plastenka Prašek 750 mg
® = ?
SyrSpend SF PH4® >> 150 mL
2-8°C Zaščiteno pred svetlobo
90 Dan
3999

Plastenka Prašek 750 mg
® = ?
SyrSpend SF PH4® >> 150 mL
20-25°C Zaščiteno pred svetlobo
90 Dan
3999


  Mentions Légales