Последнее обновление :
18/03/2026
Infostab
Списки
Списки
Поиск совместимостей
Таблица совместимостей в Y-соединении систем
Библиография
Исследовательские группы
valistab
плакат
связи
спонсоры
Автор
Инструкция по эксплуатации
Информационый бюллетень
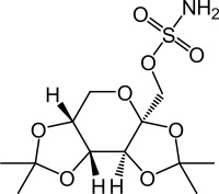
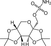
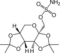
Topiramate
Химическая структура
Стабильность фармацевтических препаратов : Topiramate
750 mg
® = ?
SyrSpend SF PH4®
>> 150 mL
2-8°C
90
3999
750 mg
® = ?
SyrSpend SF PH4®
>> 150 mL
20-25°C
90
3999
Mentions Légales