Poslední aktualizace :
05/12/2025
Priešepilepsinis vaistas   Topiramate  
Geriamas tirpalas
Stabilumas farmacinių preparatų Mišinių stabilumas Stabilumą lemiantys veiksniai Suderinamumas Bibliografija pdf
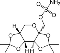
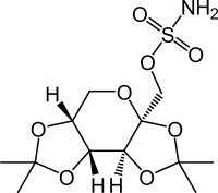
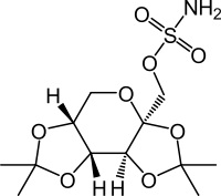
   Cheminė sandara  

Geriamas tirpalas
Stabilumas farmacinių preparatų   Geriamas tirpalas   Stabilumas farmacinių preparatų : Topiramate     
Pakuotė Origine Ekscipientas Temperatūra Laikymas Stabilumo trukmė Nuorodos
Plastikinis butelis Milteliai 750 mg
® = ?
SyrSpend SF PH4® >> 150 mL
2-8°C Apsaugotas nuo šviesos
90 Diena
3999

Plastikinis butelis Milteliai 750 mg
® = ?
SyrSpend SF PH4® >> 150 mL
20-25°C Apsaugotas nuo šviesos
90 Diena
3999


  Mentions Légales