Posledná aktualizácia :
18/03/2026
Infostab
Zoznam zlúčenín
Sumárne zoznamy
Vyhľadávanie kompatibilít
Tabuľka kompatibilít pre inf. spojku Y
Odkazy na literatúru
výskumné tímy
valistab
Poster
Pripojenie
sponzori
Autori
Príručka používateľa
Newsletter
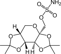
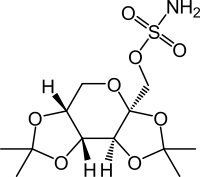
Topiramate
Chemický vzorec
Stabilita farmaceutických prípravkov : Topiramate
750 mg
® = ?
SyrSpend SF PH4®
>> 150 mL
2-8°C
90
3999
750 mg
® = ?
SyrSpend SF PH4®
>> 150 mL
20-25°C
90
3999
Mentions Légales