最新更新 :
18/03/2026
抗癫痫药   Topiramate  
口服剂
制剂的稳定性 混合物稳定性 影响稳定性的因素 兼容性 引用文献 PDF
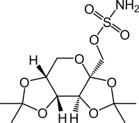
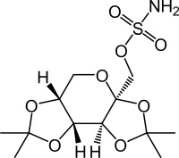
   化学式  

口服剂
制剂的稳定性   口服剂   制剂的稳定性 : Topiramate     
容器 Origine 添加剂 温度 保存 穩定持續時間 引用文献
塑料瓶 粉剂 750 mg
® = ?
SyrSpend SF PH4® >> 150 mL
2-8°C 避光
90 白天
3999

塑料瓶 粉剂 750 mg
® = ?
SyrSpend SF PH4® >> 150 mL
20-25°C 避光
90 白天
3999


  Mentions Légales