Zadnji put ažurirano :
18/03/2026
antiepileptik   Topiramate  
oralna otopina
Stabilnost farmaceutskih pripravaka Stabilnost mješavine Stabilizacijski faktor Kompatibilnosti Bibliografija pdf
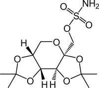
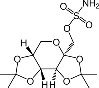
   Kemijska struktura  

oralna otopina
Stabilnost farmaceutskih pripravaka   oralna otopina     Stabilnost farmaceutskih pripravaka : Topiramate     
Kontejner Origine pomoćna tvar temperatura Konzerviranje Trajanje stabilnosti Bibliografija
plastična boca prašak 750 mg
® = ?
SyrSpend SF PH4® >> 150 mL
2-8°C Zaštićeno od svjetlosti
90 dan
3999

plastična boca prašak 750 mg
® = ?
SyrSpend SF PH4® >> 150 mL
20-25°C Zaštićeno od svjetlosti
90 dan
3999


  Mentions Légales