Останнє оновлення :
17/12/2025
протиепілептичний   Topiramate  
Розчин для перорального застосування
Стабільність фармацевтичних препаратів Стійкість сумішей Фактори, що впливають на стабільність Сумісність Список літератури pdf
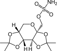
   Хімічна структура  

Розчин для перорального застосування
Стабільність фармацевтичних препаратів   Розчин для перорального застосування   Стабільність фармацевтичних препаратів : Topiramate     
Контейнер Origine допоміжна речовина температура Зберігання Тривалість стабільності Список літератури
пластикова пляшка powder 750 mg
® = ?
SyrSpend SF PH4® >> 150 mL
2-8°C Берегти від світла
90 День
3999

пластикова пляшка powder 750 mg
® = ?
SyrSpend SF PH4® >> 150 mL
20-25°C Берегти від світла
90 День
3999


  Mentions Légales