Última actualización :
18/03/2026
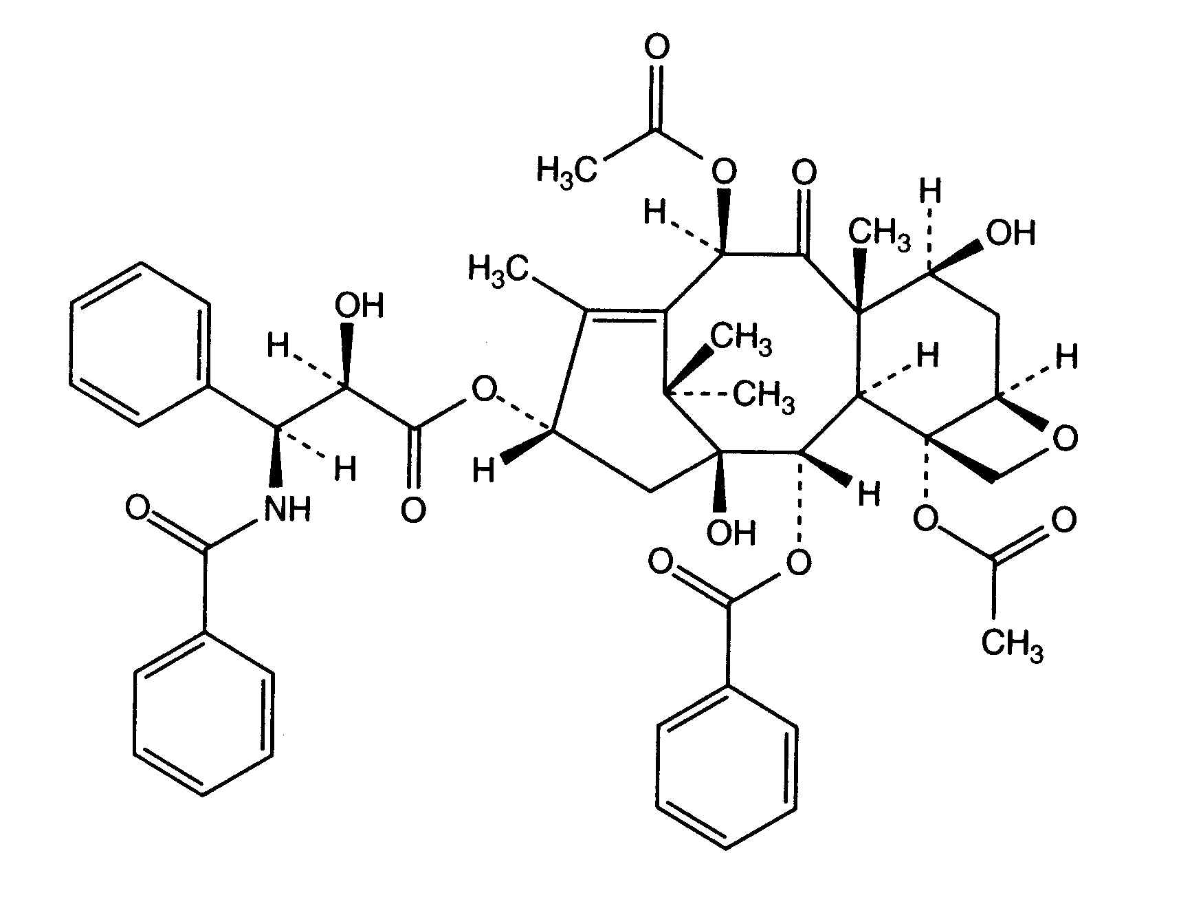
fármacos contra el cáncer   Paclitaxel  
Inyectables
Estabilidad en solucion Estabilidad en mezcla Factores que influyen sobre la estabilidad Compatibilidades método de inyección Bibliografía pdf
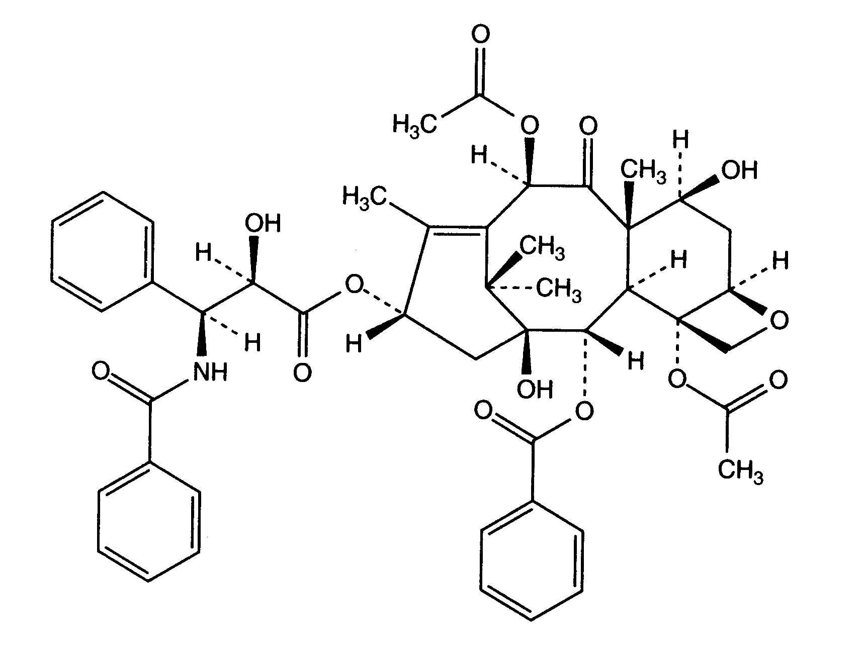
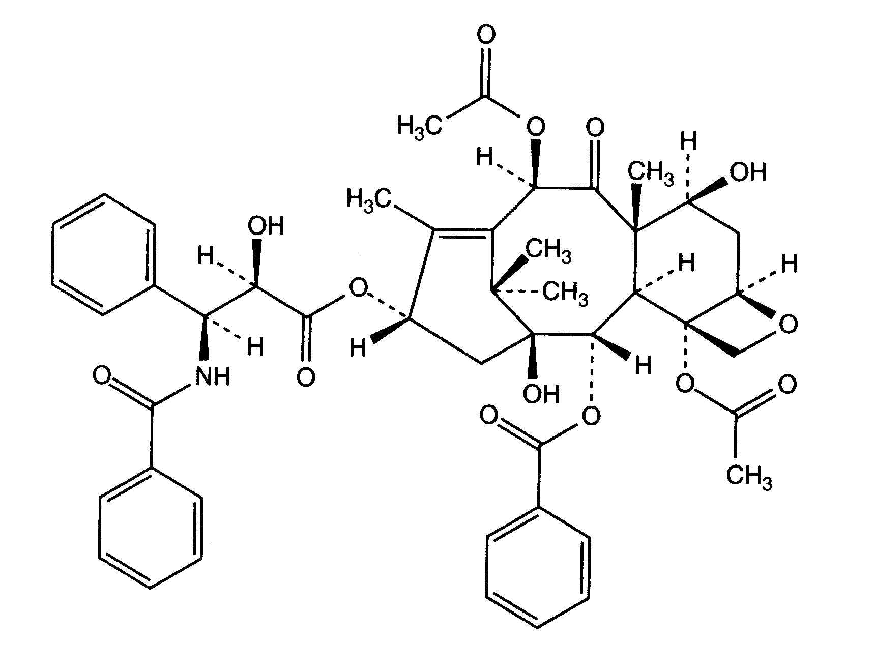
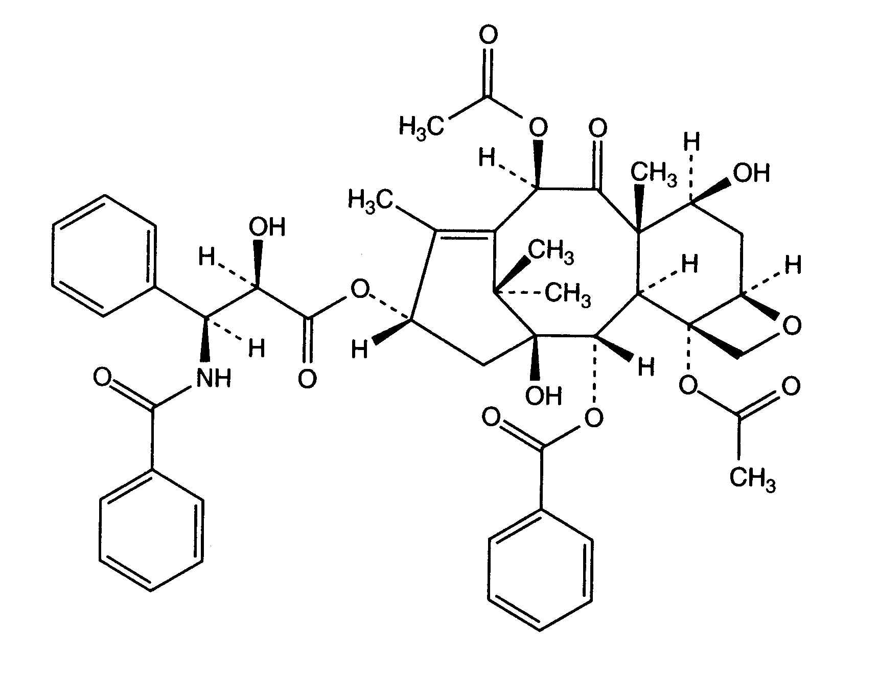
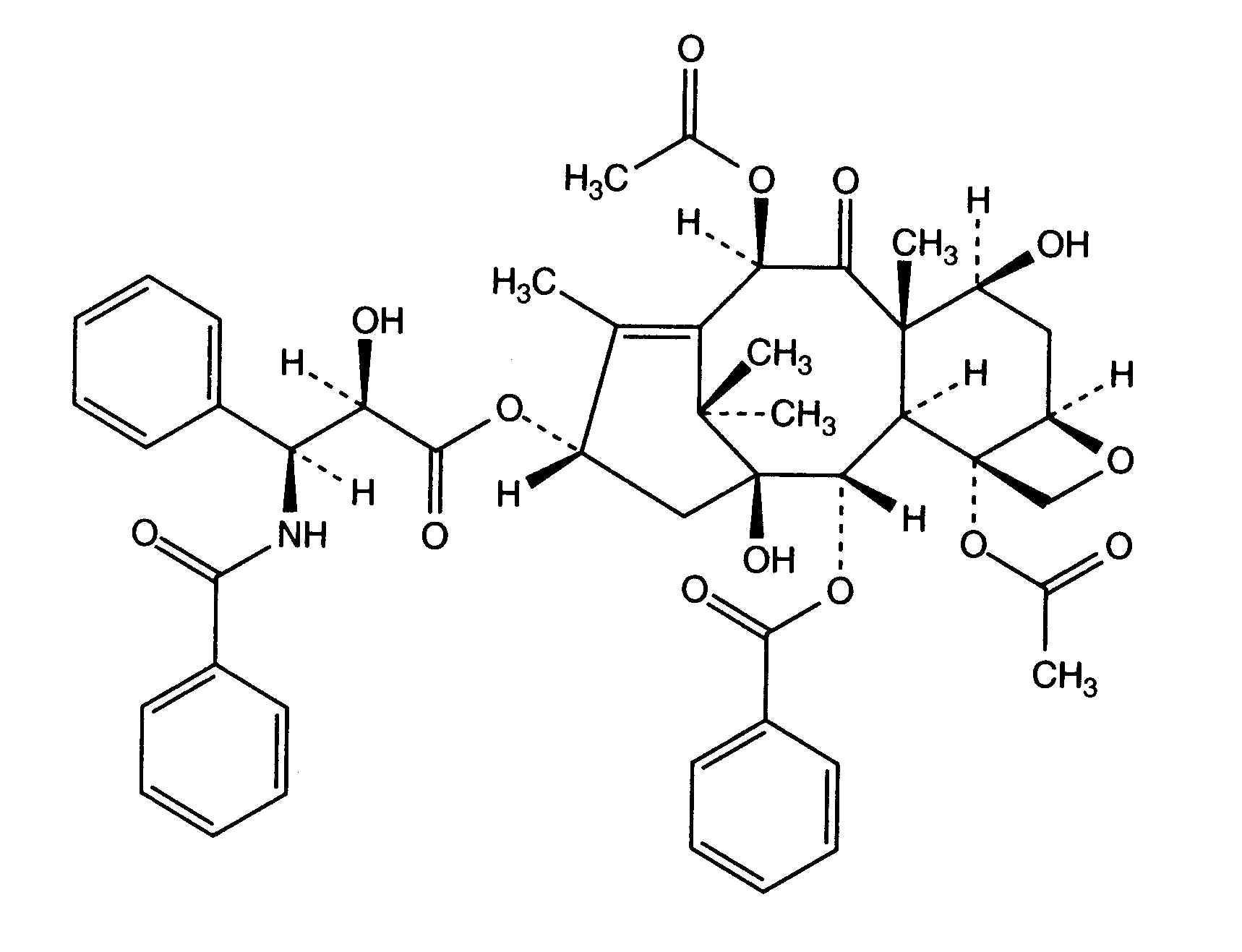
   Estructura química  

Nombre comercial   Nombre comercial     

Los nombres comerciales son orientativos y los excipientes de la formulación pueden ser distintos dependiendo del país y del laboratorio fabricante.

Aclipak Malasia
Acoexcel México
Acupaxil Marruecos
Anzatax Arabia Saudita, Egipto, Emiratos Árabes Unidos, Irán, Malasia, Marruecos, Marruecos, Nueva Zelanda, Túnez, Turquía
Aritaxel Alemania
Cantaxel India
Clitaxel Argentina, Venezuela
Dalys Argentina
Ebetaxel Arabia Saudita, Austria, Irán, Marruecos, Túnez, Turquía
Genexol Egipto, India, Irán
Onxol Estados Unidos de América
Paclinova Argentina
Paclitaxin Brasil, Eslovenia, Luxemburgo, Malasia
Parexel Brasil, Colombia, Ecuador, Venezuela
Paxene Dinamarca, España, Grecia, Irlanda, Países Bajos, Polonia
Poltaxel Polonia
Ribotax Alemania
Taxol Austria, Brasil, Colombia, Dinamarca, Egipto, Emiratos Árabes Unidos, Eslovenia, Grecia, Irán, Italia, Japón, Malasia, Marruecos, Marruecos, Nueva Zelanda, Países Bajos, Polonia, Portugal, Suecia, Suiza, Turquía, Venezuela
Taxomedac Alemania
Vitax Brasil, Marruecos, Turquía
método de inyección   método de inyección :Paclitaxel     
Voie
Perfusión intravenosa
Perfusión continua

  Mentions Légales